EasyManua.ls Logo

Lenze E82MV752 - Betriebsart Wählen

Lenze E82MV752
182 pages
Go to English
To Next Page IconTo Next Page
To Next Page IconTo Next Page
To Previous Page IconTo Previous Page
To Previous Page IconTo Previous Page
Loading...
Inbetriebnahme
Betriebsart wählen
6
41
EDK82MV752 DE/EN/FR 7.2
6.2 Betriebsart wählen
Über die Betriebsart wählen Sie die Steuerungsart oder Regelungsart des Antriebsreglers
aus. Sie können wählen zwischen
ƒ U/f−Kennliniensteuerung
ƒ Vectorregelung
ƒ Sensorlose Drehmomentregelung
Die U/f−Kennliniensteuerung ist die klassische Betriebsart für Standardanwendungen.
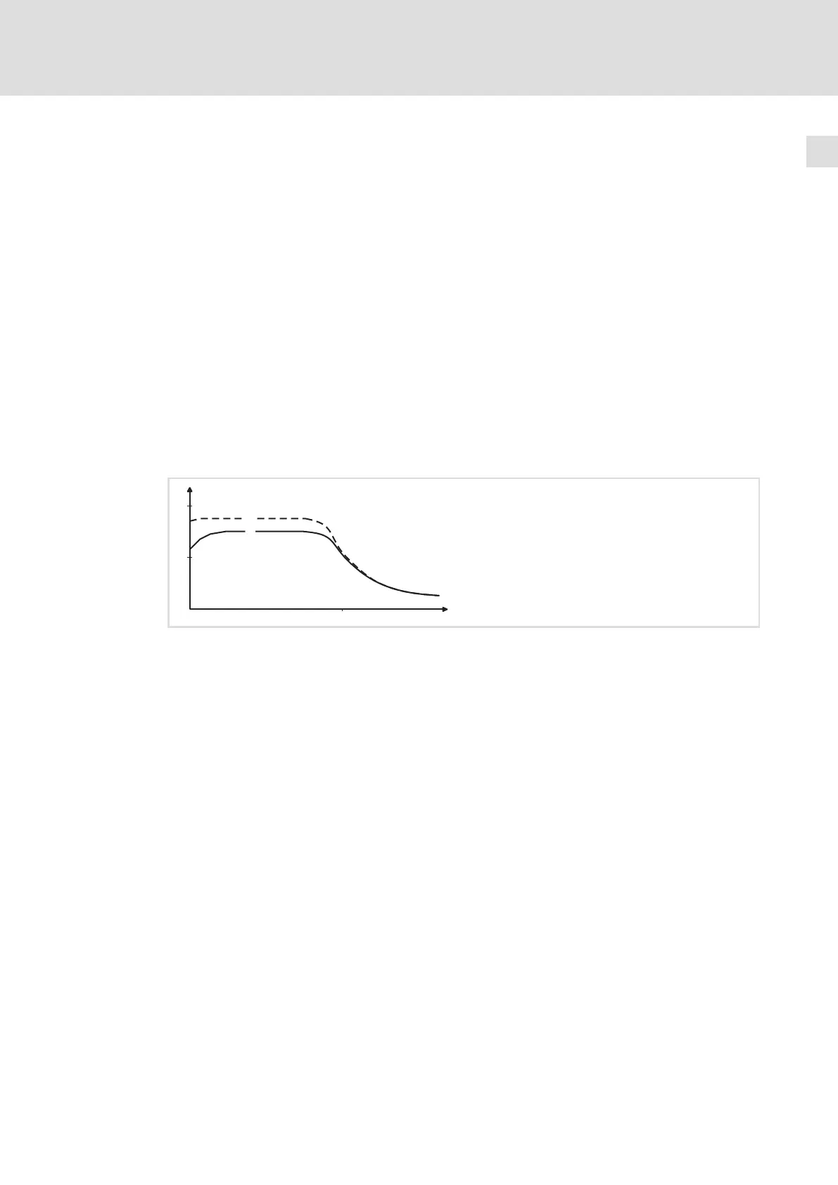
Mit der Vector−Regelung erzielen Sie gegenüber der U/f−Kennliniensteuerung verbesserte
Antriebseigenschaften durch:
ƒ höheres Drehmoment über den gesamten Drehzahlbereich
ƒ höhere Drehzahlgenauigkeit und höhere Rundlaufgüte
ƒ höheren Wirkungsgrad
M
nn
N
M
N
8200vec524
U/f−Kennliniensteuerung
Vectorregelung

Table of Contents

Related product manuals