EasyManua.ls Logo

LG DA-3520 - RF;Servo Circuit Troubleshooting

LG DA-3520
56 pages
Print Icon
To Next Page IconTo Next Page
To Next Page IconTo Next Page
To Previous Page IconTo Previous Page
To Previous Page IconTo Previous Page
Loading...
- 3-4 -
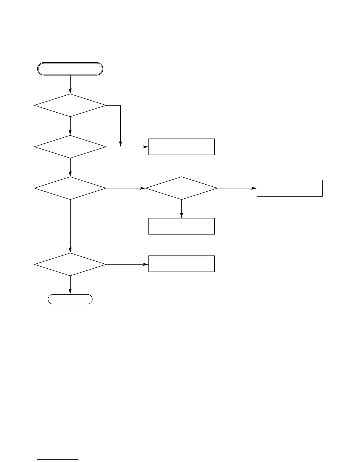
3. RF/Servo Circuit
A.
Does signal pulse
input to IC201 Pins 58, 59 when
the powe is on?
Does signal goes
"High" to IC201 Pin194 when the
power is on?
Does
TTL
pulse output to
IC201 Pins 140, 142?
Does
33.8688MHz clock input
to IC201 Pin 63?
Is IC201
Pins 83, 84, 88, 89 voltage
about 2.2V?
Replace IC201
(IC206 soldering or IC defect).
Check power circuit.
Check "2.-COM Part".
Replace X301 or IC304
(30MHz clock defect)
CHECK POINT(General)
END
NO
NO
NO NO
NO
YES
YES
YESYES
YES

Related product manuals