EasyManua.ls Logo

Martindale Electric Metrohm E3640 - General Description; General

Martindale Electric Metrohm E3640
8 pages
Print Icon
To Next Page IconTo Next Page
To Next Page IconTo Next Page
To Previous Page IconTo Previous Page
To Previous Page IconTo Previous Page
Loading...
-10-
-3-
2 DESCRIPTION
2.1 GENERAL
The E3640 is an AC flash tester for leakage and breakdown testing. It is
designed for voltage testing of electrical apparatus, components and
insulating materials.
The tester is housed in a rugged, moulded plastic case with integral
carrying handle. The hinged detachable lid is fitted with a pouch which
contains all accessories and the instruction manual. All operating
functions are mounted on a panel underneath the protective lid.
A two position power selector adjusts the tester to operate from 115 or
230V ±15% 50/60Hz.
The tester has an output AC test voltage which may be set in the range 0
to 4kV by adjusting the voltage control. The mode select switch allows
the selection of either breakdown, trip or burn. Leakage current passing
through the “DUT” is detected. In the breakdown mode the high
frequency current will cause the tester to trip. In the trip mode the tester
will trip if the current exceeds the trip level setting (0 to 3mA) of the trip
level control or if breakdown occurs. However, when the burn mode is
selected the trip does not occur and the output voltage is maintained but it
reduces as current increases.
When the tester trips the fail lamp will illuminate, a buzzer will sound
and the ‘kVON’ lamp will extinguish. The output voltage will drop to
zero but the output voltage and the leakage current at the instant of trip
will be held on their respective displays. To reset the tester the voltage
control is rotated anti-clockwise to the reset position.
If the tester is switched on when the voltage control is not in the reset
position the HV output is inhibited and the ‘kV ON’ lamp will not illuminate.
Turning the voltage control to reset will activate the HV circuits.
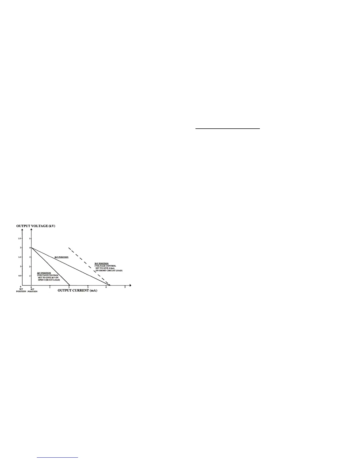
Maximum output voltages of 2.2kV and 4.2kV are set such that if these
Trip Level Range: 0.3 to 3mA 50/60Hz
Setting Accuracy: ±5% of full
Trip Response Leakage: Will trip for fault duration >5mS
but not for <100μS
Breakdown: Will trip for fast transients of
30μS and above
Safety: LVD:Meets BS EN 61010-1
EMC:Meets BS EN 50081-1
BS EN 50082-2
Output Terminal Characteristics:
E3640 OUTPUT CHARACTERISTICS
5.2 MECHANICAL
Case Dimensions: 330 x 263 x 144mm
Case Material: ABS
Weight: 4kg

Related product manuals