EasyManua.ls Logo

Mastervolt MASS 24/75

Mastervolt MASS 24/75
24 pages
To Next Page IconTo Next Page
To Next Page IconTo Next Page
To Previous Page IconTo Previous Page
To Previous Page IconTo Previous Page
Loading...
9
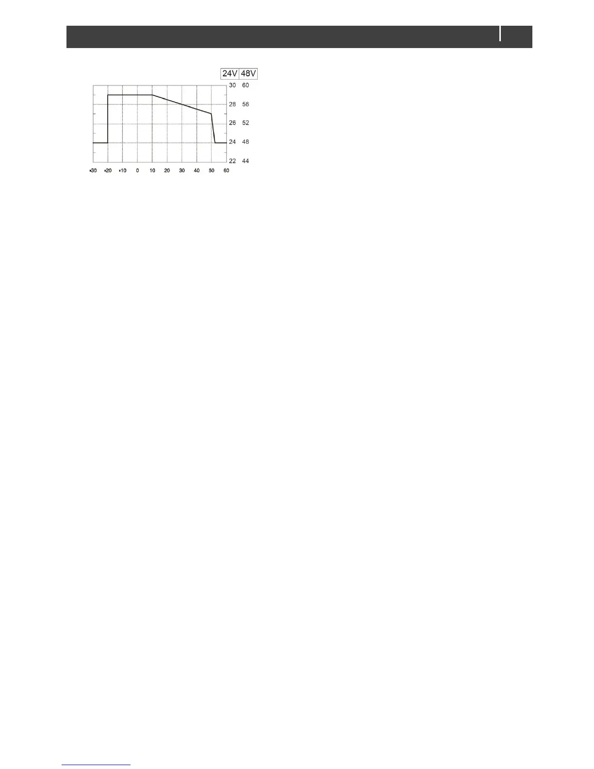
Figure 3. Temperature compensated charging
4.8 Voltage sense
If required, DC cable losses can be compensated by using
the sense function. This will shorten the charge time.
1. Use 0,75mm
2
, preferably red and black wire and
secure these with fuses of 2A slow blow.
2. Connect the wires with the two upper terminals of the
green connector at the right side of the cabinet (see
Figure 4 on page 10). Pay extra attention to the
polarity of the wires, red on +S and black on -S.
3. Now connect the other side of the wires: black on the
minus of the battery and red on the plus of the battery.
4.9 Alarm function
To control external equipment, the charger is equipped
with a potential free contacts alarm relay; see Figure 4 on
page 10. The alarm function has two modes: standard
(factory setting) and DC alarm mode (continuous mode).
The maximum switch current of the relay is 1A. Exceeding
the setpoints will activate the alarm (see page 17).
4.9.1 Standard alarm mode
In this mode the relay responds to all fault conditions that
the Mass Charger can detect such as: no AC input
voltage, low DC voltage, voltage sense failure,
temperature sense failure.
4.9.2 DC alarm mode
To enable this mode a DIP switch setting needs to be
changed (switch 1 and 2 at ON). The alarm now works as
a DC alarm and responds to the battery voltage only.
Note: In the DC alarm mode the electronics stay active
permanently and drain a very small current of
±25mA, also when the Mass Charger is switched
off.
4.10 RJ12 splitter for enclosure C2
The RJ12 connector (QRS232 communication port) can
be used to connect the battery temperature sensor or the
remote panel (not included). Use a RJ12-splitter to
connect both at the same time (not included).
Charge voltage (V)
Battery temperature (°C)

Other manuals for Mastervolt MASS 24/75

Related product manuals