EasyManua.ls Logo

Medisoft 800 Series - Inclination Subsystem Diagnostic Flowchart

Medisoft 800 Series
66 pages
Print Icon
To Next Page IconTo Next Page
To Next Page IconTo Next Page
To Previous Page IconTo Previous Page
To Previous Page IconTo Previous Page
Loading...
Service Manual 800 series Rev. 1/01.07.2019
3
Medisoft RAM Italia S.r.l. - All rights reserved
not OK
Not OK
not OK
not OK
not OK
OK
not OK
OK
not OK
OK
OK
not OK
Not OK
OK
not OK
not OK
not OK
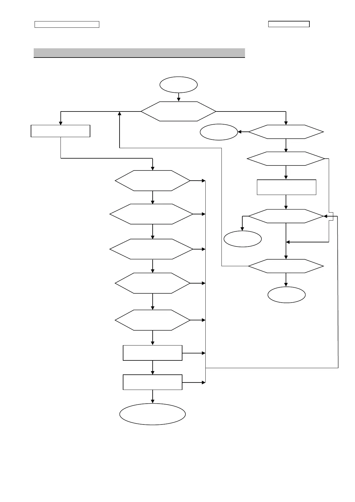
3.1 - Flow chart for the diagnosis of inclination subsystem
3.5 Substitution RS 232
cable
Stop
Start
3.2 Transmission
check
3.3 Connection check
Stop
3.4 RS 232 cable check
3.6 Inclination check
3.9 Control board
imput check
3.10 Filter board and
control board fuse check
3.12 Test of the limit
switch
Send the treadmill to
the manufacturer
3.8 Removal of the hood
3.7 Treadmill check
Stop
3.11 Test control board
and elevation motor
elevaz.
3.13 Test of 0% limit
switch
3.14 Substitution of the
control board
3.15 Substitution of the
elevation motor

Table of Contents

Other manuals for Medisoft 800 Series

Related product manuals