EasyManua.ls Logo

Microplex SOLID F40 - Page 145

Microplex SOLID F40
151 pages
Print Icon
To Next Page IconTo Next Page
To Next Page IconTo Next Page
To Previous Page IconTo Previous Page
To Previous Page IconTo Previous Page
Loading...
Specifications 145
_______________________________________________________________________________________________
_______________________________________________________________________________________________
MICROPLEX Operator’s Manual SOLID F40 Edition 1.1
3. Spare parts Spare parts are exchanged by the service engineer, when they fail.
Examples for spare parts are:
- couplings
- electronic assemblies
- rollers
Depending on the application some parts may change categories under certain circumstances. If for
example very rough paper is used, the rollers can become an (application specific) wearing part.
It’s a fact, that the right time to exchange a component depends not only on the failure of a component
but also on a possible loss of print quality in the printouts.
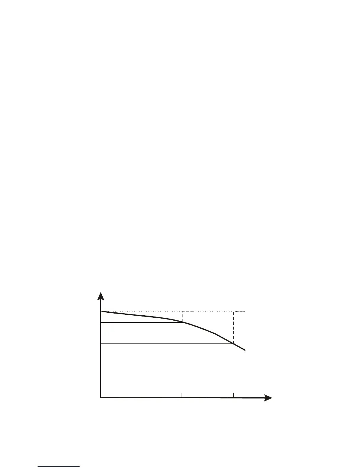
MNPSQ = Mean Number of Prints with Specified Quality (SQ).
This value is often associated with "Lifetime". This term is not correct. MNPSQ describes the period of
time in which a defined print quality is maintained.
The print quality is determined by the values for
- print density
- background darkness
- homogeneity
The value
IQ (Initial Quality) is used to designate the print quality that is reached with a new printer.
CAQ (Customer Acceptable Quality) is a purely subjective lower limit which a respective customer is
willing to accept the print quality. An exchange of parts is only then necessary even if the MNPSQ is
already exceeded.
IQ
SQ
CAQ
p
a
g
es
quality
MNPSQ MNPCAQ
Utilization time
exchange exchange

Related product manuals