EasyManua.ls Logo

Midea MEHSU-12CHC2 - Page 47

Midea MEHSU-12CHC2
81 pages
Print Icon
To Next Page IconTo Next Page
To Next Page IconTo Next Page
To Previous Page IconTo Previous Page
To Previous Page IconTo Previous Page
Loading...
45
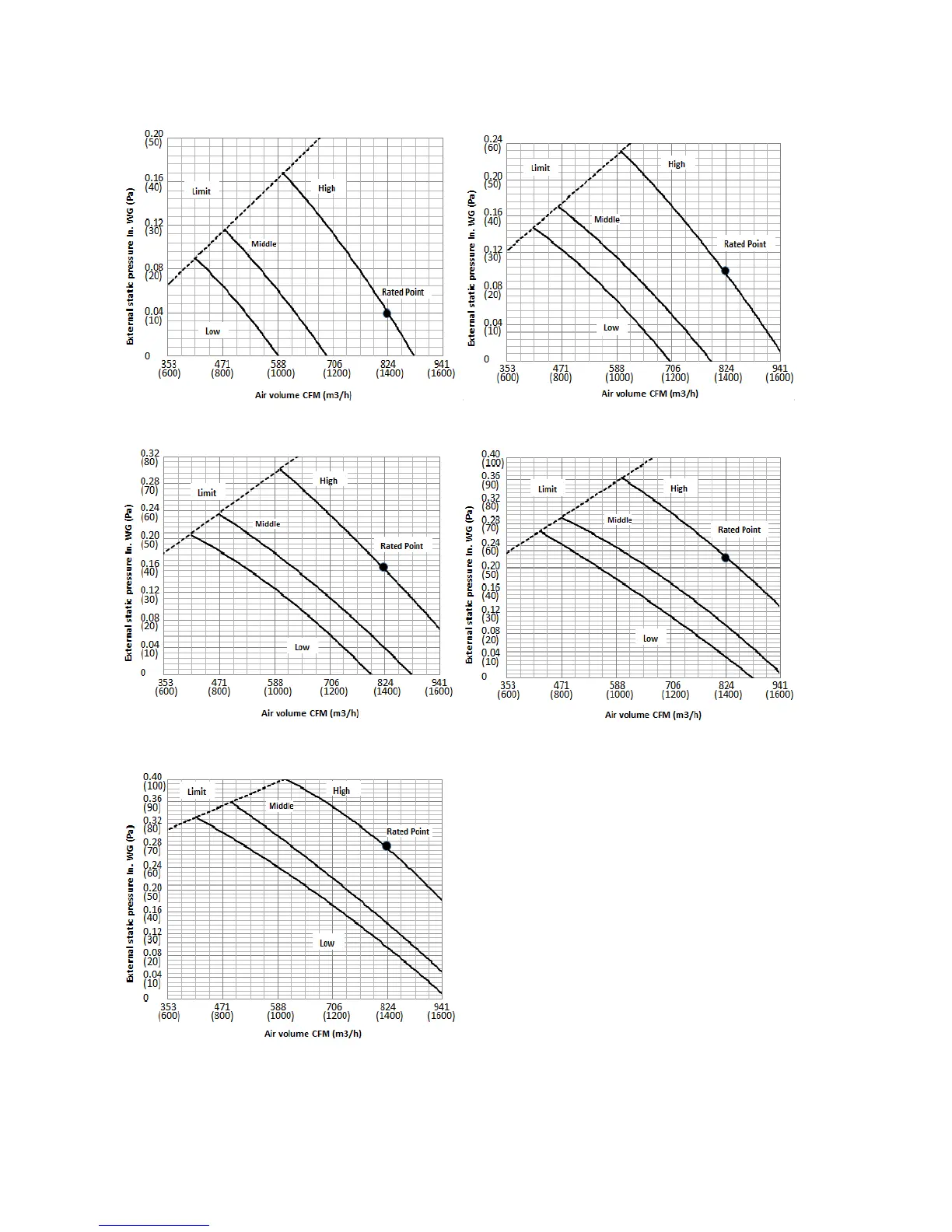
MEHSU-24CHD2
Code 0 Code 1
Code 2 Code 3
Code 4

Related product manuals