EasyManua.ls Logo

Motorola CM140

Motorola CM140
68 pages
To Next Page IconTo Next Page
To Next Page IconTo Next Page
To Previous Page IconTo Previous Page
To Previous Page IconTo Previous Page
Loading...
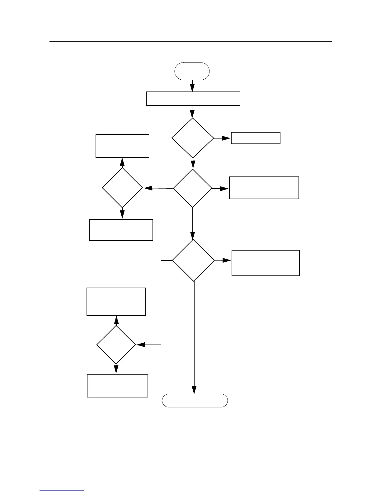
Troubleshooting Flow Chart for 25W Transmitter (Sheet 1 of 3) 3-5
2.1 Troubleshooting Flow Chart for 25W Transmitter (Sheet 2 of 3)
Yes
<2V
Check Q102, R139,
R155, R166, R126,
R127, R169, R138,
R175, R147
Check PA
Stages
No or too low power when keyed
DC
Voltage
at Q101 & Q102
base=0?
DC
Voltage
at U103
Pin 8
Check U403
Check resistive network at
Pin 9 and 10 of U103
before replacing U101
Pin 1
DC Voltage
at U102
Check resistive network at
pin 1, 2, 3 of U102 before
replacing Q105
Check Final PA Stages
U102 Pin 3 =
8.8V
Check U102 before re-
placing Q105
DC
Voltage at
U103 Pin
10=8.8V
Check Q101,
R153,R136, R165,
R122, R168, R137
Check U103 and resistive
network at Pin 10 of U103
before replacing U101
No
No
Yes
>5V
2-5V
2-3V
Yes
No
<2V
>3V

Table of Contents

Other manuals for Motorola CM140

Related product manuals