EasyManua.ls Logo

nedis VCCS200RD - Snabbstartsguide

nedis VCCS200RD
24 pages
Print Icon
To Next Page IconTo Next Page
To Next Page IconTo Next Page
To Previous Page IconTo Previous Page
To Previous Page IconTo Previous Page
Loading...
12
Säkerhetsanvisningar
-
VARNING
Använd produkten endast enligt anvisningarna i denna
bruksanvisning.
Använd endast den medföljande laddaren och laddstället.
Kontrollera att nätspänningen på användningsplatsen
överensstämmer med den som anges på produktens typskylt.
Ladda produkten endast om stickkontakten överensstämmer
med eluttaget. Använd inte adaptrar. Byt inte stickkontakten.
Använd inte produkten om en del är skadad eller defekt. Byt en
omedelbart en skadad eller defekt enhet.
Denna apparat kan användas av barn över åtta år och av
personer med fysisk, sensorisk eller kognitiv
funktionsnedsättning, eller avsaknad av erfarenhet och kunskap,
om användningen sker under uppsikt eller om dessa personer
erhållit instruktioner om säker användning av apparaten och är
medvetna om riskerna. Barn får inte leka med produkten.
Rengöring och användarunderhåll får inte utföras av barn om de
inte står under uppsikt.
Sänk inte ned produkten i vatten.
Dra inte stickkontakten ur eluttaget genom att dra i sladden. Håll
alltid i kontakten när du drar.
Anslut eller dra inte stickkontakten till/ur eluttaget med våta händer.
Använd inte produkten när den laddas.
För inte in några föremål i öppningarna. Använd inte produkten
om någon öppning är blockerad. Håll produkten fri från damm,
ludd, hår etc.
Håll hår, löst sittande kläder, ngrar och alla kroppsdelar borta
från öppningar och rörliga delar.
Dammsug inte hårda eller vassa föremål såsom glass, spikar,
skruvar, mynt, etc.
Dammsug inte heta kol, cigaretter, tändstickor eller annat som
avger rök eller brinner.
Använd inte dammsugaren utan lter på plats.
Var extra försiktig vid dammsugning i trappor.
Dammsug inte lättantändliga eller brännbara material
(tändarvätska, motorbensin, etc.), och använd den inte i närvaro
av explosiva vätskor eller ångor.
Dammsug inte toxiska material (klorblekmedel, ammoniak,
avloppsrengöringsmedel, etc.)
Använd inte dammsugaren i slutna utrymmen som är fyllda med
ångor från oljebaserade färger, färgförtunningsmedel,
lättantändligt damm eller andra explosiva eller toxiska ångor.
Använd dammsugaren på endast torra ytor inomhus.
Förvara din apparat inomhus i ett svalt, torrt område.
Håll slangens, rörens och andra öppningar på avstånd från ditt
ansikte och kropp.
Använd inte dammsugaren för rengöring av dina sällskapsdjur
eller andra djur.
Håll huvudet (ögon, öron, mun, etc.) borta från öppningarna när
dammsugaren arbetar.
Om du hör ett gnisslande ljud och sugkraften sänks, rensa
blockeringar och rengör luftltret.
Öppna inte batteripaketet eller motorområdet. De innehåller inte
användarreparabla delar.
Att montera produkten (bild B)
1. För in A
q
i A
1
.
2. För in A
6
i A
1
.
3. För in A
8
eller A
i
i A
6
.
Ladda produkten (bild C)
1. Fäst A
y
på väggen med användning av 2 skruvar och
väggpluggar.
2. För in A
u
i A
y
.
3. Anslut A
u
till ett eluttag.
4. Placera dammsugaren i A
y
.
Esvaziar o coletor de poeiras
1. Pressione A
t
enquanto segura A
r
por cima de um caixote
de lixo.
-
Não é necessário desmontar o produto para o esvaziar A
r
.
Limpeza do coletor de poeiras (imagem D)
-
Pressione A
e
para soltar A
r
.
-
Desmonte A
r
e D
12
.
-
Passe A
rt
e D
12
por água.
-
Deixe todas as peças secarem completamente antes de voltar a
montar o produto.
-
Os ltros devem ser limpos a cada 6 meses ou assim que a
potência de sucção diminuir.
-
Os ltros devem ser vericados regularmente quanto a sinais de
danos, de preferência após cada limpeza.
-
Os ltros devem ser substituídos imediatamente se estiverem
danicados.
-
Desligue sempre o aspirador da tomada elétrica antes de vericar
os ltros.
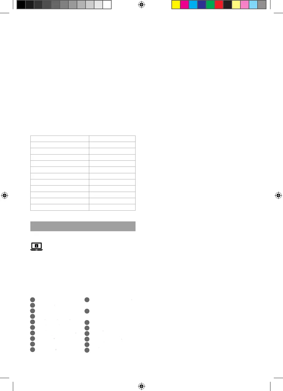
Especicações
Produto Aspirador vertical
Número de artigo VCCS200RD
Dimensões (c x l x a) 980 x 240 x 200 mm
Tensão da bateria 18,5 V
Potência máxima 100 W
Potência de sucção 7000 Pa
Tempo de funcionamento (eco) 40 minutos
Tempo de funcionamento (máx.) 20 minutos
Tempo de carga Até 5 horas
Nível de ruído 73 dB
Escova para pavimento Escova motorizada
Capacidade do coletor de poeiras 1 L
e
Snabbstartsguide
Dammsugare VCCS200RD
För ytterligare information, se den utökade
manualen online: ned.is/vccs200rd
Avsedd användning
Produkten är uteslutande avsedd som en dammsugare för
användning inomhus.
Produkten är inte avsedd för yrkesmässig användning.
Modiering av produkten kan medföra konsekvenser för säkerhet,
garanti och korrekt funktion.
Huvuddelar (bild A)
Handtag
Kraftknapp
Eco-knapp
LED-laddningsindikator
Rörets frigöringsknapp
Förlängningsrör
Borstens frigöringsknapp
Golvborste
LED-lampa

Batteripaket

Batteripaketets frigörings-
knapp

Dammbehållarens
frigöringsknapp

Dammbehållaren

Dammtömningsknapp

Laddställ

Nätadapterns sladd

Tillbehörsmunstycke

Borste
VCCS200RD_MAN_COMP_0919_(19474 1422)_v01_00.indd 12 16-9-2019 15:40:50

Related product manuals