EasyManua.ls Logo

Nintendo GameCube - Restart Flow

Nintendo GameCube
10 pages
Print Icon
To Next Page IconTo Next Page
To Next Page IconTo Next Page
To Previous Page IconTo Previous Page
To Previous Page IconTo Previous Page
Loading...
Reset Guidelines
DOL-06-0028-001-A2 8 © 2001 Nintendo of America Inc.
Released: 9/13/01
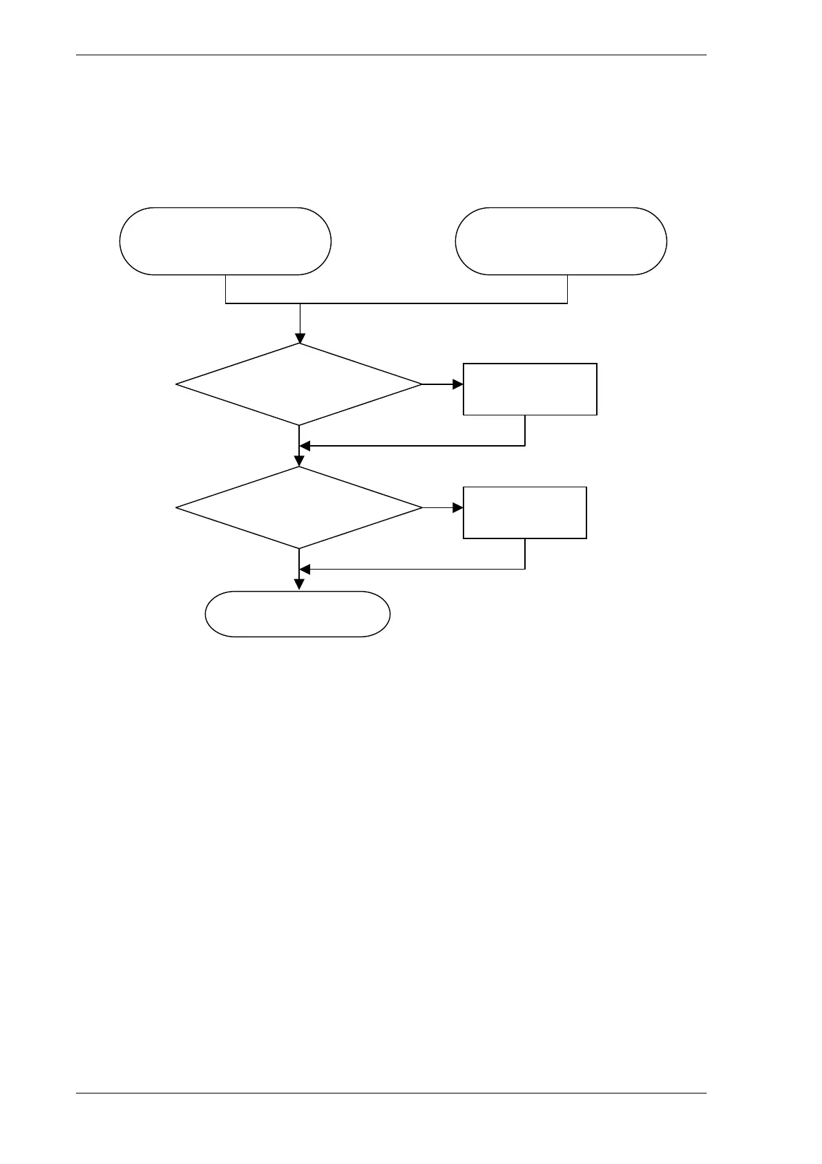
A.2 Restart
GX process has completed
Perform a Restart
Yes
Wait for end of GX
process
N
o
An in-hand reset is entered
N
intendo GameCube
TM
RESET
Button is pressed and released
Wait for end of write
to Memory Card
N
o
Yes
Writing to Memory
Card has completed

Other manuals for Nintendo GameCube

Related product manuals