EasyManua.ls Logo

NUTOOL AG2500HU - Page 43

NUTOOL AG2500HU
50 pages
Print Icon
To Next Page IconTo Next Page
To Next Page IconTo Next Page
To Previous Page IconTo Previous Page
To Previous Page IconTo Previous Page
Loading...
43
EST
3 TÖÖEELNE KONTROLL
MÄRKUS:
TÖÖEELNE KONTROLL TULEB TEHA GENERAATORI
IGAL KASUTUSKORRAL.
1) KONTROLLIGE MOOTORITUST (JOONIS 5)
- Kontrollige tusetaseme mõõdiku abil kütuse taset.
- Kui tusetase on liiga madal, lisage pliivaba autobensiini.
- Kasutage kütusefiltri suudmes kindlasti filtrisõela.
- Soovitatav kütus: pliivaba bensiin.
HOIATUS:
- Kütust ei tohi lisada töötava või kuuma mootoriga.
- Enne kütuse lisamist sulgege kütusekraan.
- Olge ettevaatlik, et vältida kütuse saastumist tolmu, mustuse,
vee vm võõrollusega.
- Enne mootori käivitamist pühkige mahaloksunud kütus
hoolikalt ära.
- “F” – täis, “E” – tühi.
2) KONTROLLIGE MOOTORIÕLI (JOONIS 6)
Enne õlitaseme kontrollimist või õli lisamist tuleb väljalülitatud
mootoriga generaator asetada kindlale ja ühetasasele pinnale.
- Eemaldage õlimahuti täitekork ja kontrollige mootori õlitaset.
- Kui õlitase on alampiirist madalam, lisage ülempiiri tähistava
jooneni sobivat õli.
Õlitaseme kontrollimisel ärge kruvige õlimahuti täitekorki sisse.
- Vahetage saastunud õli välja.
- Soovitatav mootoriõli:
API Service «SE» või «SF», kui neid pole saada, siis «S.
3) MAANDUS
Generaator tuleb kindlasti maandada.
4)Ö
MÄRKUS:
GENERAATOR TARNITAKSE ILMA MOOTORIÕLITA.
LISAGE MOOTORIÕLI –VASTASEL KORRAL MOOTOR
EI IVITU.
1) MOOTORI IVITAMINE
MÄRKUS:
- Enne mootori käivitamist ärge ühendage elektriseadmeid.
- Lülitage vahelduvvoolulüliti asendisse «OFF» (välja lülitatud).
(JOONIS 7)
1. Keerake kütusekraan asendisse «O (sisse lülitatud).
(JOONIS 8)
2. Lülitage mootorilüliti asendisse «O (sisse lülitatud).
(JOONIS 9)
3. Keerake õhuklapi hoob suletud asendisse. Kui mootor on soe,
pole see vajalik. (JOONIS 10)
4. Tõmmake aeglaselt starteri käepidet, kuni tunnete takistust.
See on «kompressioonipunkt». Laske käepide tagasi
algasendisse ja tõmmake seda kiire liigutusega. Ärge tõmmake
trossi välja. Pärast käivitumist laske starteri käepide sellest lahti
laskmata tagasi algasendisse. (JOONIS 11)
5. Laske mootoril soojeneda.
6. Keerake õhuklapi hoob tagasi tööasendisse. (JOONIS 12)
7. Soojendage mootorit mõni minut tühikäigul.
2 ELEKTRITOITE KASUTAMINE
1 – VAHELDUVVOOLURAKENDUS (ÜHE PINGEVÄÄRTUSEGA)
(a) Kontrollige märgutule või voltmeetri abil, kas pinge vastab
nõuetele.
(b) Enne elektriseadmete ühendamist generaatoriga lülitage need
lülitist välja.
(b) Torgake elektriseadmete pistikud kontakti.
(d) Keerake alalisvoolulüliti asendisse «O (sisse lülitatud)
ja lülitage elektriseade tööle. (JOONIS 13)
ETTEVAATUST!
- Veenduge, et üldkoormus jääb generaatori nimiväärtuse
piiridesse.
- Veenduge, et kontakti tegelik voolutugevus jääb nimiväärtuse
piiridesse.
- Voolu tmiseks pöördlukuga (TWIST LOCK) kontaktist torgake
pistik kontakti ja keerake fikseerimiseks päripäeva.
2 – VAHELDUVVOOLURAKENDUS
(KAHE PINGEVÄÄRTUSEGA) (JOONIS 3/B)
(a) Valige VAHELDUVVOOLULJUNDI VALIKULÜLITI abil pinge,
lähtudes elektriseadmest.
(b) Toimige samamoodi, nagu kirjeldatud ühe pingeväärtusega
vahelduvvoolurakendust käsitleva lõigu punktides a–d.
MÄRKUS:
Voltmeeter näitab VAHELDUVVOOLULJUNDI VALIKULÜLITI
seadistusest hoolimata alati madalamat pingeväärtust.
3 – ALALISVOOLURAKENDUS (lisavõimalus)
Seda võimalust kasutatakse ainult 12 V aku laadimiseks.
(a) Aku laadimisõpetus
- Ühendage akujuhtmed lahti.
- Tehke akuvedeliku kork täiesti lahti.
- Kui akuvedeliku tase on madal, lisage ülempiirini destilleeritud vett.
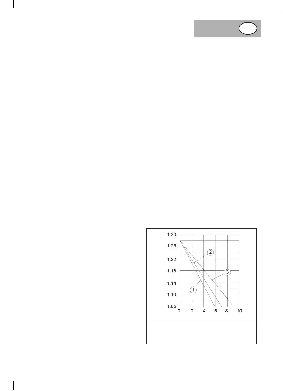
- Mõõtke hüdromeetri abil akuvedeliku erikaalu ja arvutage paremal
toodud tabeli järgi laadimisaeg.
- Täislaetud aku erikaal peab olema v
ahemikus 1,26–1,28.
(b) Ühendage alalisvoolu väljundkontakt ja akuklemmid
laadimisjuhtmetega. Juhtmete ühendamisel tuleb järgida (+) ja (–)
pooluste õiget asetust.
(c) Kui alalisvooluahela kaitselüliti on asendis «OFF» (välja lülitatud),
tuleb see pärast ühenduse kinnitamist seada asendisse «O
(sisse lülitatud).
ERIKAALU JA LAADIMISAJA TABEL
Specifična gravitacija
Vrijeme punjenja (sati)
AKU MAHTUVUS
1. 30 Ah 20 h
2. 35 Ah 20 h
3. 47 Ah 20 h
Laadimisaeg (tundides)
Erikaal