EasyManua.ls Logo

oboni LS22D1000 - Page 22

oboni LS22D1000
59 pages
Print Icon
To Next Page IconTo Next Page
To Next Page IconTo Next Page
To Previous Page IconTo Previous Page
To Previous Page IconTo Previous Page
Loading...
Menu Operation
• Lock
Press the ENTER button to access the submenu.
Press your password (it is 0000 at first), then you will go the submenu as following.
NOTE: • If you forget, the super password of 1225 still is valid.
Lock System
Press the / button to select Lock System On or Off.
When the Lock System is On, Parental Guidance can be adjusted by users.
Parental Guidance
Press the / button to select Parental Guidance.
This feature can prevent children watching adult’s TV programmes, according to the
rating limit set.
Change Password
Press the ENTER button to access the submenu.
You can set your private password. Press the numbers buttons on the remote
control to set the new password. If the new password has been input twice, the
setting is finished successfully.
• Blue Screen
Press the / button to select Blue Screen On or Off.
NOTE: • In the DTV and USB mode are not available.
• Demo Mode
Press the / button to select Demo Mode On or Off.
• Hearing Impaired
When hearing Impaired is on, the TV screen will give some information to the people
whose hearing is impaired. When Hearing Impaired is off, the information will be
hidden.
NOTE: • In the DTV mode, when the Subtitle Language is not set “off” mode, Hearing
Impaired can be adjusted by users.
Auto SCART
Press the / button to select Auto SCART On or Off.
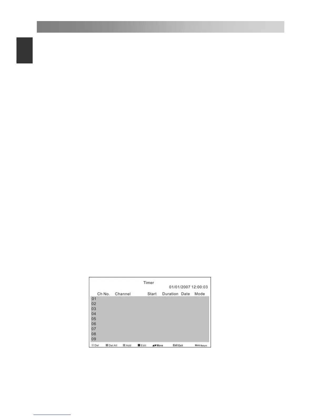
Timer: Press the ENTER button to access the submenu.
To set the parameters for schedule reminding. Schedule Reminding can start at a
specified time.
Del: Press red button to delete selected timer.
Del All: Press green button to delete all timers.
19
E
ngli
sh

Table of Contents