EasyManua.ls Logo

Panasonic 4541OLOA - Troubleshooting Guide

Panasonic 4541OLOA
12 pages
Print Icon
To Next Page IconTo Next Page
To Next Page IconTo Next Page
To Previous Page IconTo Previous Page
To Previous Page IconTo Previous Page
Loading...
3
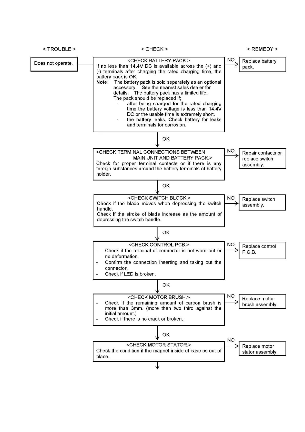
3 Troubleshooting Guide
(Refer to Wiring Connection Diagram)

Related product manuals