EasyManua.ls Logo

Panasonic CS-C18GKD - Operation Characteristics

Panasonic CS-C18GKD
58 pages
Print Icon
To Next Page IconTo Next Page
To Next Page IconTo Next Page
To Previous Page IconTo Previous Page
To Previous Page IconTo Previous Page
Loading...
55
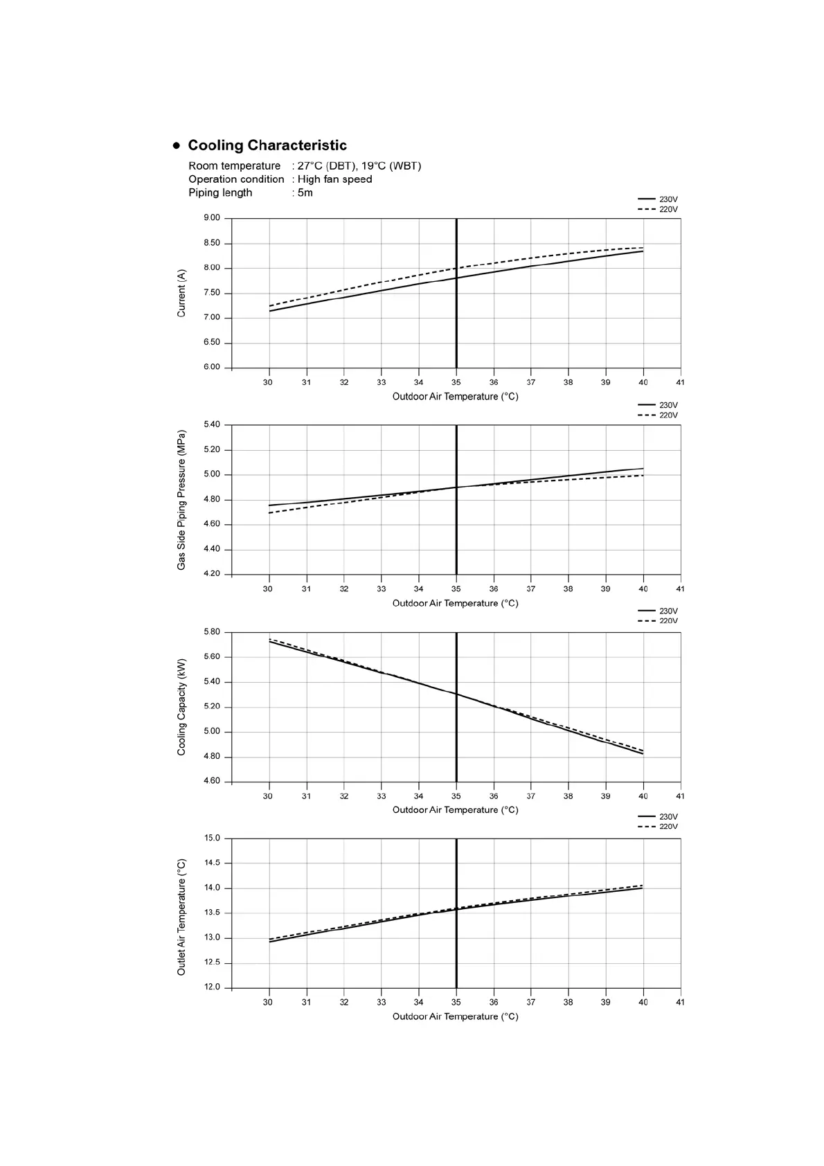
16.2. Operation Characteristics
16.2.1. CS-C18GK CU-C18GK

Related product manuals