EasyManua.ls Logo

Panasonic CU-4E23PBE - Page 108

Panasonic CU-4E23PBE
140 pages
Print Icon
To Next Page IconTo Next Page
To Next Page IconTo Next Page
To Previous Page IconTo Previous Page
To Previous Page IconTo Previous Page
Loading...
108
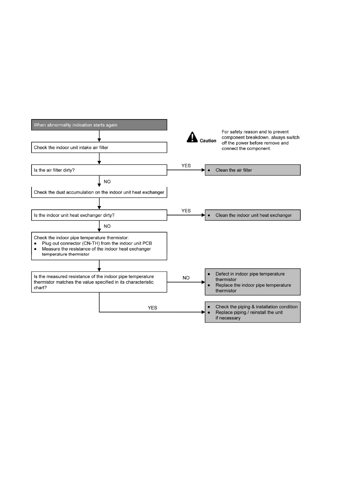
18.4.17 H98 (Error Code Stored in Memory and no alarm is triggered / no TIMER LED
flashing)
Malfunction Decision Conditions
Indoor high pressure is detected when indoor heat exchanger is detecting very high temperature when the unit is
operating in heating operation.
Phenomena: unit is stopping and re-starting very often in heating mode
Malfunction Caused
Indoor heat exchanger thermistor
Clogged air filter or heat exchanger
Over-bent pipe (liquid side)
Troubleshooting

Table of Contents

Other manuals for Panasonic CU-4E23PBE

Related product manuals