EasyManua.ls Logo

Panasonic CU-E12LKE - 13 Operation Control (for Multi Split Connection); Cooling Operation; Soft Dry Operation; Heating Operation

Panasonic CU-E12LKE
185 pages
Print Icon
To Next Page IconTo Next Page
To Next Page IconTo Next Page
To Previous Page IconTo Previous Page
To Previous Page IconTo Previous Page
Loading...
80
13 Operation Control (For Multi Split Connection)
During multi split connection, indoor unit’s operation controls are same with single split connection unless specified in this chapter.
13.1. Cooling operation
13.1.1. Thermostat control
Capability supply to indoor unit is OFF (Expansion valve closed) when Intake Air Temperature — Internal setting temperature
< -2.0°C
Capability resume supply to indoor unit after waiting for 3 minutes, if the Intake Air temperature — Internal setting temperature
> Capability supply OFF point.
13.2. Soft Dry Operation
13.2.1. Thermostat control
Capability supply to indoor unit is OFF (Expansion valve closed) when Intake Air Temperature — Internal setting temperature
< -3.0°C
Capability resume to indoor unit after waiting for 3 minutes, if the Intake Air temperature — Internal setting temperature
> Capability supply OFF point.
13.3. Heating Operation
13.3.1. Thermostat control
Capability supply to indoor unit is OFF (Expansion valve closed) when Intake Air Temperature — Internal setting temperature
> +1.0°C
During this condition, the indoor fan is stopped if compressor is ON.
Capability resume supply to indoor unit after waiting for 3 minutes, if the Intake Air Temperature — Internal setting temperature
< Capability supply OFF point.
13.3.2. Temperature Sampling Control
Temperature sampling is controlled by outdoor unit where room temperature for all power supply ON indoor unit could be
obtained.
When capability supply to the indoor unit is OFF and the compressor is ON, the indoor fan motor is stopped. During this
condition, 15 seconds after sampling signal from outdoor unit is received, the indoor fan start operation at low fan speed.
However, within first 4 minutes of capability stopped supply to the indoor unit, even sampling signal is received, the sampling
control is cancelled.
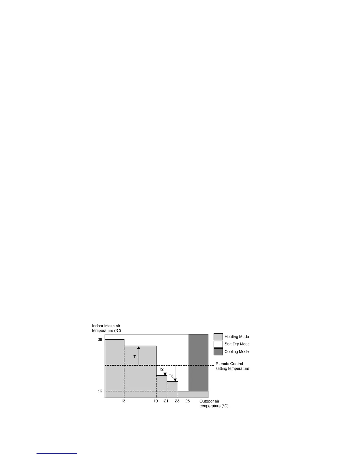
13.4. Automatic Operation
This mode can be set using remote control and the operation is decided by remote control setting temperature, remote control
operation mode, indoor intake and outdoor air temperature.
During operation mode judgment, indoor fan motor (with speed of -Lo) and outdoor fan motor are running for 30 seconds to
detect the indoor intake and outdoor air temperature. The operation mode is decided based on below chart.
Every 180 minutes, the indoor and outdoor temperature is judge. Based on remote control setting temperature, the value of T1
will increase up to 10°C, T2 will decrease by 3°C and T3 will decrease up to 8°C.

Table of Contents

Other manuals for Panasonic CU-E12LKE

Related product manuals