EasyManua.ls Logo

Panasonic CU-E21DKE - Page 101

Panasonic CU-E21DKE
122 pages
Print Icon
To Next Page IconTo Next Page
To Next Page IconTo Next Page
To Previous Page IconTo Previous Page
To Previous Page IconTo Previous Page
Loading...
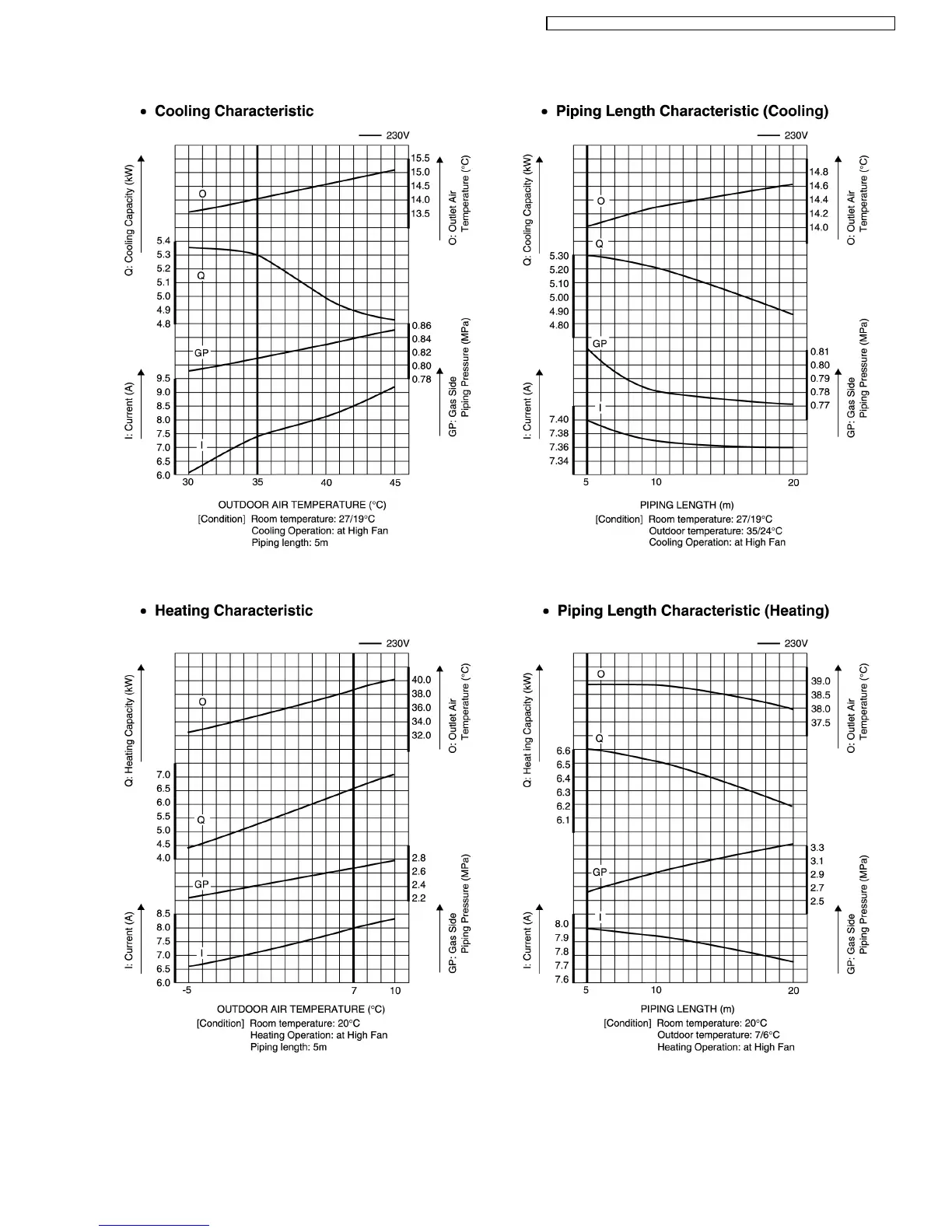
14.1.2. CS-E18DKEW CU-E18DKE
101
CS-E15DKEW CU-E15DKE / CS-E18DKEW CU-E18DKE / CS-E21DKES CU-E21DKE

Table of Contents

Other manuals for Panasonic CU-E21DKE

Related product manuals