EasyManua.ls Logo

Panasonic CU-PW12DKE - Operation Characteristics; CS;CU-PW9 DKE Operation and Piping Length Characteristics

Panasonic CU-PW12DKE
64 pages
Print Icon
To Next Page IconTo Next Page
To Next Page IconTo Next Page
To Previous Page IconTo Previous Page
To Previous Page IconTo Previous Page
Loading...
CS/CU-PW9DKE








230V
17
16
15
14
13
1.00
0.95
0.90
0.85
3.0
2.8
2.6
2.4
2.2
6.0
5.0
4.0
3.0
Cooling characteristics
56
I: Current (A)
Q: Cooling capacity (kW)
LP: Gas side piping
pressure (Mpa)
22XWOHWDLUWHPS
Outdoor temp( )
[Condition] Room temp: 27/19
Cooling operation:at high speed
Piping length:7.5m
CS-PW9DKE / CU-PW9DKE / CS-PW12DKE / CU-PW12DKE
Operation characteristics
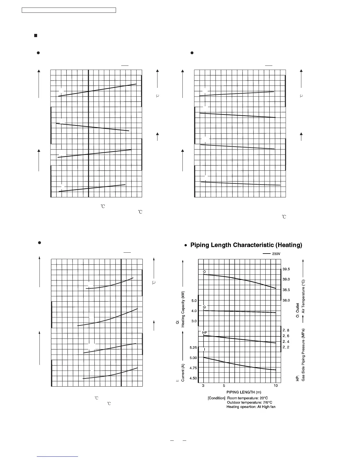
Piping Length Characteristics
4
5
6789
10
230V
16
15
14
1.05
1.00
0.95
0.90
0.85
2.8
2.6
2.4
2.2
5.0
4.0
3.0
I: Current (A)
Q: Cooling capacity (kW)
LP: Gas side piping
pressure (Mpa)
O:Outlet air temp(
PIPING LENGTH(m)
[Condition] Room temp: 27/19
Cooling operation:at high speed
3
Outdoor temp(
[Condition] Room temp: 20
Heating operation:at high speed
Piping length:7.5m
I: current (A)
Q: Heating capacity (kW)
HP:Gas side piping
Pressure (Mpa)
O:Outlet Air temp(
3.2
3.0
2.8
2.6
5.0
4.0
3.0
2.0
39
38
37
36
3.0
2.8
2.6
-4
0
24
6
10
230V
8
Heating characteristics
O
Q
LP
I
O
Q
LP
I
-2
O
Q
HP
I

Related product manuals