EasyManua.ls Logo

Panasonic CU-PW12DKE - CS;CU-PW12 DKE Operation and Piping Length Characteristics

Panasonic CU-PW12DKE
64 pages
Print Icon
To Next Page IconTo Next Page
To Next Page IconTo Next Page
To Previous Page IconTo Previous Page
To Previous Page IconTo Previous Page
Loading...
30
32
34
36
38
40
42
44
17
16
15
14
13
0.70
0.65
0.60
0.55
0.50
3.8
3.6
3.4
3.2
3.0
2.8
7.0
6.0
5.0
4.0
I: Current (A)
Q: Cooling capacity (kW)
LP: Gas side piping
pressure (Mpa)
O:Outlet air temp( )
Outdoor temp( )
[Condition] Room temp: 27/19
Cooling operation:at high speed
Piping length:7.5m
230V
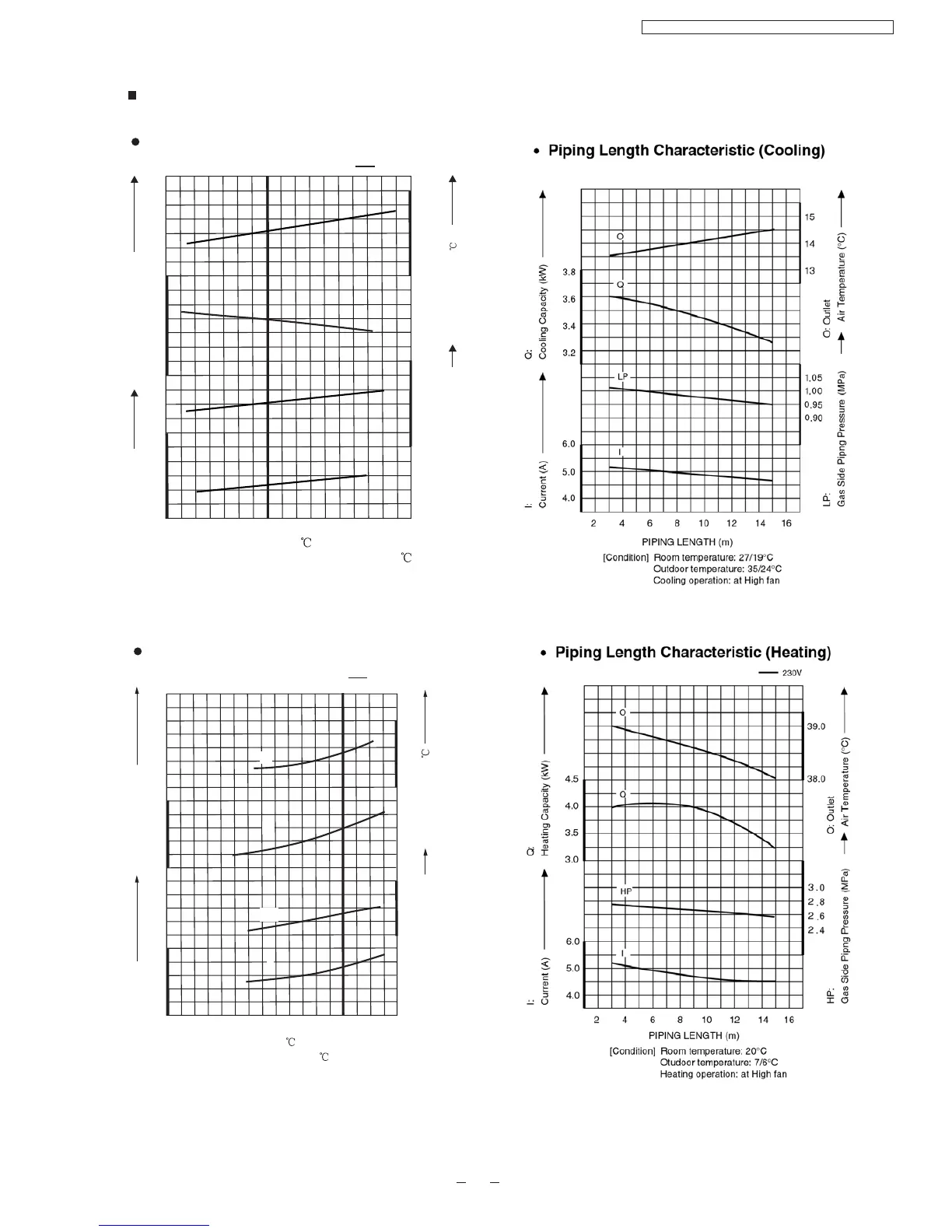
CS-PW9DKE / CU-PW9DKE / CS-PW12DKE / CU-PW12DKE
Piping Length Characteristics
57
CS/CU-PW12DKE
Cooling characteristics
Operation characteristics
Outdoor temp( )
[Condition] Room temp: 20
Heating operation:at high speed
Piping length:7.5m
I: current (A)
Q: Heating capacity (kW)
HP:Gas side piping
Pressure (Mpa)
O:Outlet Air temp( )
4.0
3.8
3.6
3.4
5.0
4.0
3.0
2.0
39
38
37
36
3.0
2.8
2.6
-4
0
24
6
10
230V
8
Heating characteristics
-2
O
Q
LP
I

Related product manuals