EasyManua.ls Logo

Panasonic FPG-C28P2H - Page 141

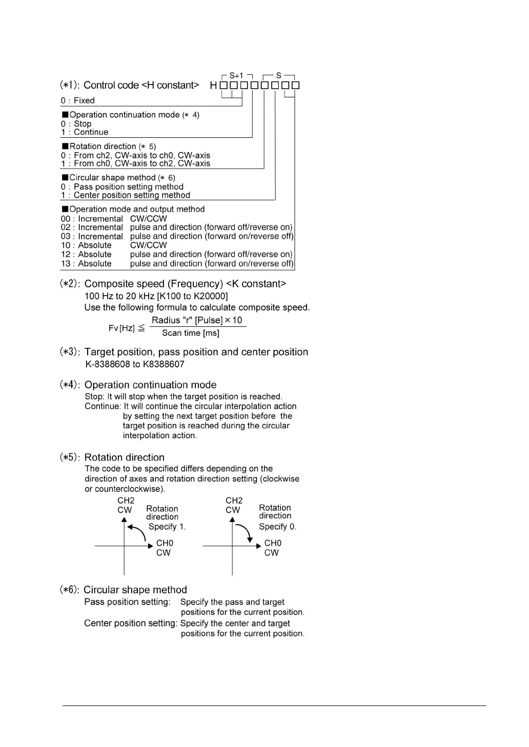
Panasonic FPG-C28P2H
440 pages
Print Icon
To Next Page IconTo Next Page
To Next Page IconTo Next Page
To Previous Page IconTo Previous Page
To Previous Page IconTo Previous Page
Loading...
6-51

Table of Contents

Related product manuals