EasyManua.ls Logo

Panasonic MDF-U76VA - Backup Cooling Kit Usage; Operating and Setting the Backup Cooling Kit

Panasonic MDF-U76VA
42 pages
Print Icon
To Next Page IconTo Next Page
To Next Page IconTo Next Page
To Previous Page IconTo Previous Page
To Previous Page IconTo Previous Page
Loading...
34
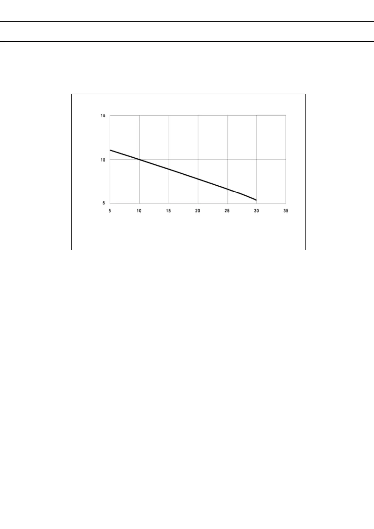
BACKUP COOLING KIT (OPTION)
Chamber temperature is the time when -70
o
C can be holding for Liquid CO
2
backup cooling kit.
Keep a liquefied CO
2
cylinder at less than 31
o
C.
The above data is the experiment value which uses liquid CO
2
30L. (no-load)
Ambient temperature (
o
C)
Time (h)
MDF-U76VA

Other manuals for Panasonic MDF-U76VA

Related product manuals