EasyManua.ls Logo

Panasonic SV-3800 - Basic Operations; Cassette Loading and Unloading; Recording and Playback Basics; Headphone Usage

Panasonic SV-3800
83 pages
To Next Page IconTo Next Page
To Next Page IconTo Next Page
To Previous Page IconTo Previous Page
To Previous Page IconTo Previous Page
Loading...
Inserting
and
removing
cassette
tapes
1
Press
the
POWER
switch
to
switch
on
power.
2
Press
the
OPEN/CLOSE
button.
The
cassette
holder
will
open.
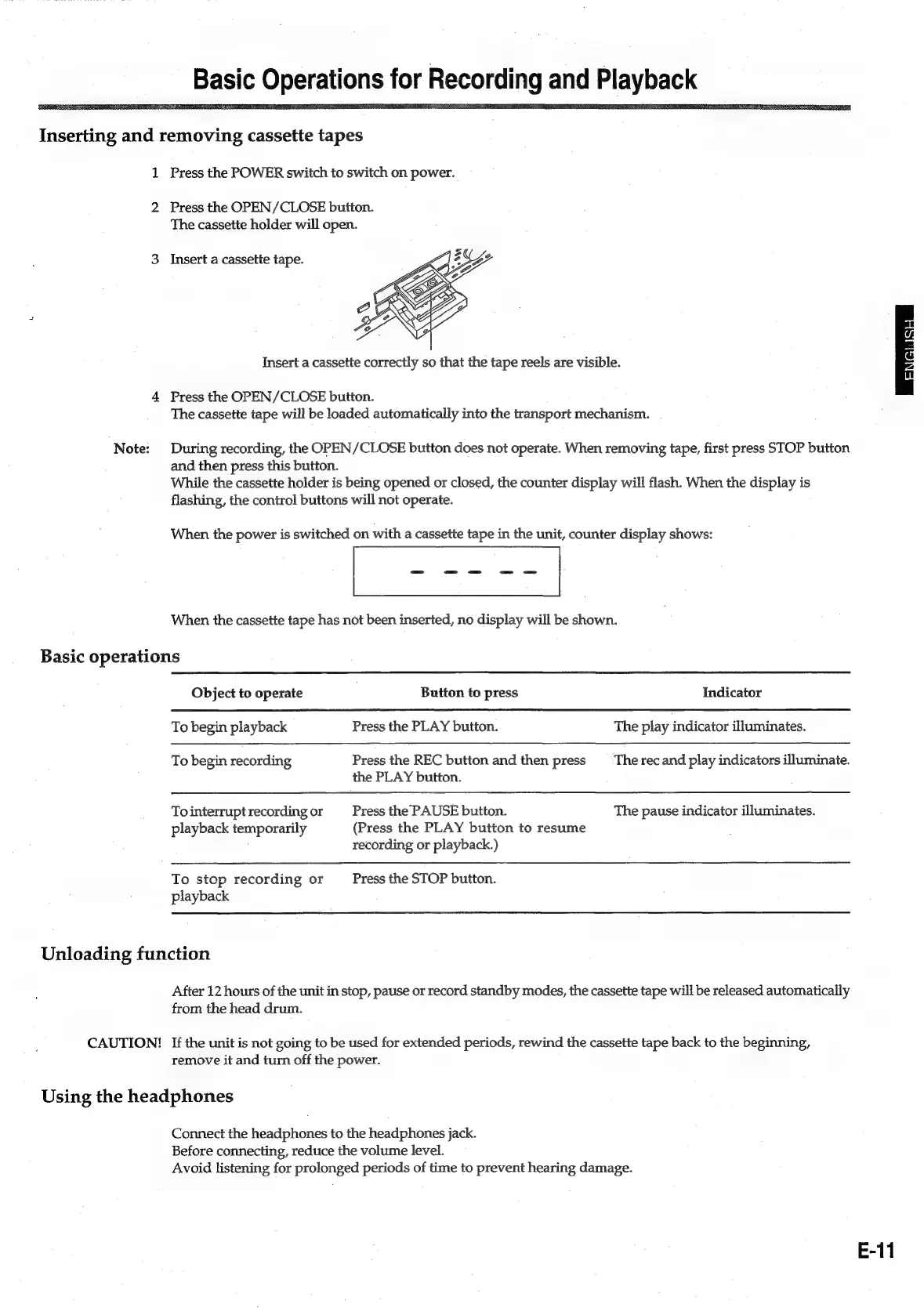
3
Insert
a
cassette
tape.
Insert
a
cassette
correctly
so
that
the
tape
reels
are
visible.
4
Press
the
OPEN/CLOSE
button.
The
cassette
tape
will
be
loaded
automatically
into
the
transport
mechanism.
Note:
During
recording,
the
OPEN/CLOSE
button
does
not
operate.
When
removing
tape,
first
press
STOP
button
and
then
press
this
button.
While
the
cassette
holder
is
being
opened
or
closed,
the
counter
display
will
flash.
When
the
display
is
flashing,
the
control
buttons
will
not
operate.
When
the
power
is
switched
on
with
a
cassette
tape
in
the
unit,
counter
display
shows:
When
the
cassette
tape
has
not
been
inserted,
no
display
will
be
shown.
Basic
operations
Object
to
operate
Button
to
press
Indicator
To
begin
playback
Press
the
PLAY
button.
The
play
indicator
illuminates.
To
begin
recording
Press
the
REC
button
and
then
press
=‘
The
rec
and
play
indicators
illuminate.
the
PLAY
button.
To
interrupt
recording
or
Press
the
PAUSE
button.
The
pause
indicator
illuminates.
playback
temporarily
(Press
the
PLAY
button
to
resume
recording
or
playback.)
To
stop
recording
or
Press
the
STOP
button.
playback
Unloading
function
After
12
hours
of
the
unit
in
stop,
pause
or
record
standby
modes,
the
cassette
tape
will
be
released
automatically
from
the
head
drum.
CAUTION!
If
the
unit
is
not
going
to
be
used
for
extended
periods,
rewind
the
cassette
tape
back
to
the
beginning,
remove
it
and
turn
off
the
power.
Using
the
headphones
Connect
the
headphones
to
the
headphones
jack.
Before
connecting,
reduce
the
volume
level.
Avoid
listening
for
prolonged
periods
of
time
to
prevent
hearing
damage.
E-11

Related product manuals