EasyManua.ls Logo

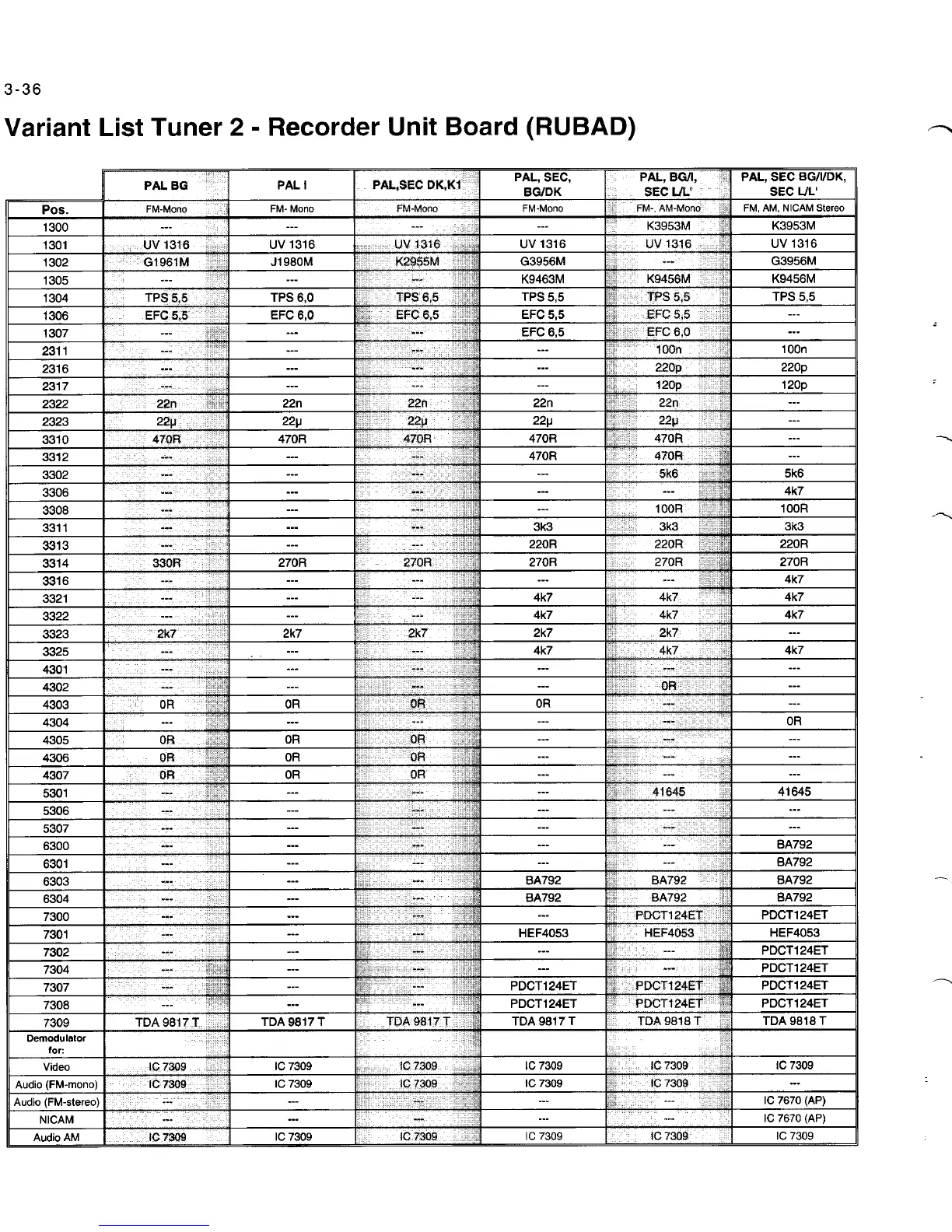
Philips 14PV210 - Variant List Tuner 2 - Recorder Unit Board (RUBAD)

Philips 14PV210
197 pages
Print Icon
To Next Page IconTo Next Page
To Next Page IconTo Next Page
To Previous Page IconTo Previous Page
To Previous Page IconTo Previous Page
Loading...

Table of Contents

Related product manuals