EasyManua.ls Logo

Precor CROSSTRAINER EFX 883 - Page 90

Precor CROSSTRAINER EFX 883
104 pages
Print Icon
To Next Page IconTo Next Page
To Next Page IconTo Next Page
To Previous Page IconTo Previous Page
To Previous Page IconTo Previous Page
Loading...
32 Operating and Maintaining the P30 Console
To use the touch heart rate feature, place the palm of your
hands directly on the metal heart rate sensors on the
equipments handlebars. To ensure a more accurate heart
rate readout, make sure you follow these tips:
Both hands must grip the sensors for your heart rate to
register.
It takes a number of consecutive heart beats (15-20
seconds) for your heart rate to register.
When gripping the sensors, do not grip tightly. Keep a
loose, cupping hold. Holding the grips tightly can affect
the reading.
As you work out, your perspiration will help transmit your
heart rate signal. If you have difficulty using the handheld
grips to determine your heart rate, try the sensors again
later in the workout to see if you can obtain a heart rate
signal.
If the touch heart rate feature does not work for you,
Precor recommends that you use a chest transmitter
strap.
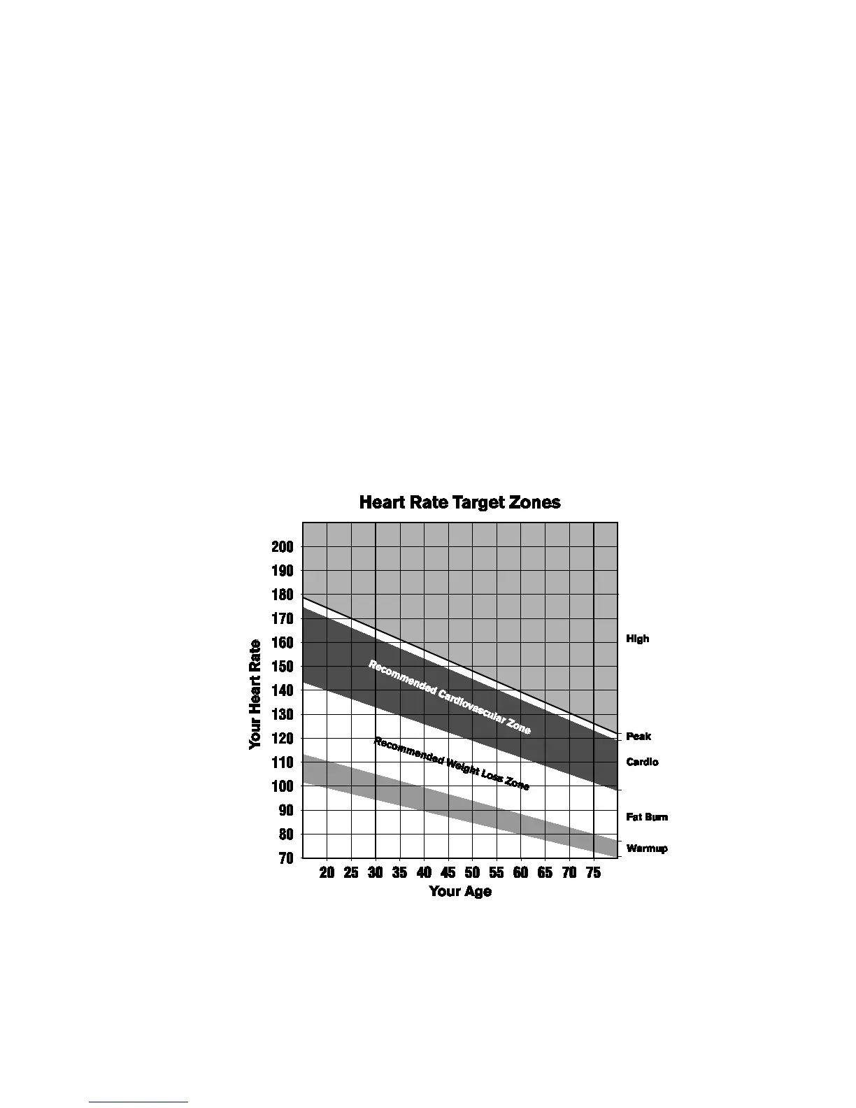
Figure 4: Heart rate target zones
CAUTION: Your heart rate should never exceed 85% of your
maximum aerobic heart rate. Your maximum heart rate is equal to
220 minus your age.

Table of Contents

Related product manuals