EasyManua.ls Logo

Pronomic 90P - 175 P Setup

Pronomic 90P
20 pages
Print Icon
To Next Page IconTo Next Page
To Next Page IconTo Next Page
To Previous Page IconTo Previous Page
To Previous Page IconTo Previous Page
Loading...
________________________________________________________________________________
13 Stationary lifter (90/125/130/175/225P)
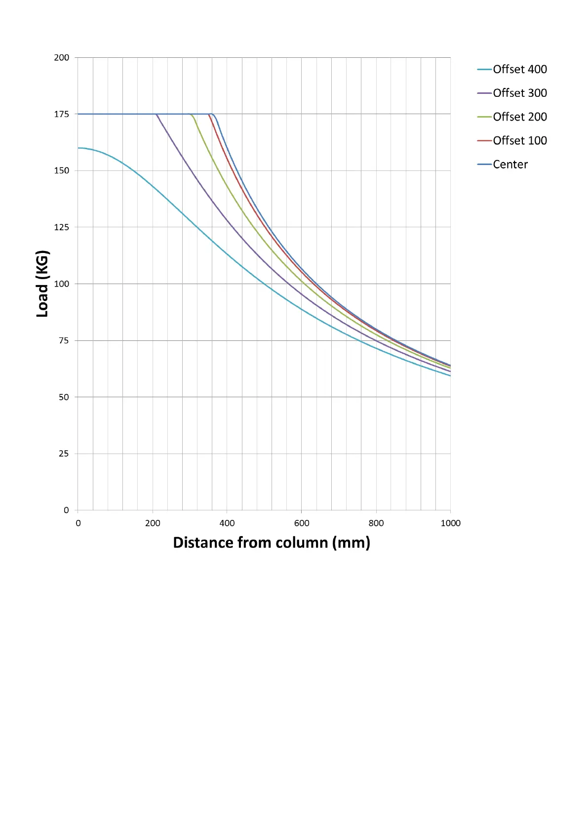
7.4 175P Setup

Related product manuals