EasyManua.ls Logo

Rans S-7LS Courier - Amplified Procedures; Engine Failure

Rans S-7LS Courier
82 pages
Print Icon
To Next Page IconTo Next Page
To Next Page IconTo Next Page
To Previous Page IconTo Previous Page
To Previous Page IconTo Previous Page
Loading...
Rans Inc. Section 5
Model S-7LS COURIER Emergency Procedures
Original Issue March 3, 2005 5- 5
If fire appears out and electrical power is necessary for continuance of flight:
(3) Circuit Breakers - CHECK for faulty circuit, do not reset faulty circuit
Master Switch - ON.
(4) Radio/Electrical Switches - ON one at a time, with delay after each until short circuit is
localized.
AMPLIFIED PROCEDURES
ENGINE FAILURE
If an engine failure occurs during the takeoff run, the most important thing to do is to stop
the aircraft on the remaining runway. Those extra items on the checklist will provide
added safety during a failure of this type.
The first response to an engine failure after takeoff is to promptly LOWER the nose and
establishes a glide attitude (check and maintain speed). In most cases, the landing
should be planned straight ahead with only small heading corrections to avoid
obstructions. Of course, the number one priority is to land the aircraft as smoothly and
accurately as possible. Altitude and airspeed are seldom sufficient to execute a 180
degree gliding turn back to the runway.
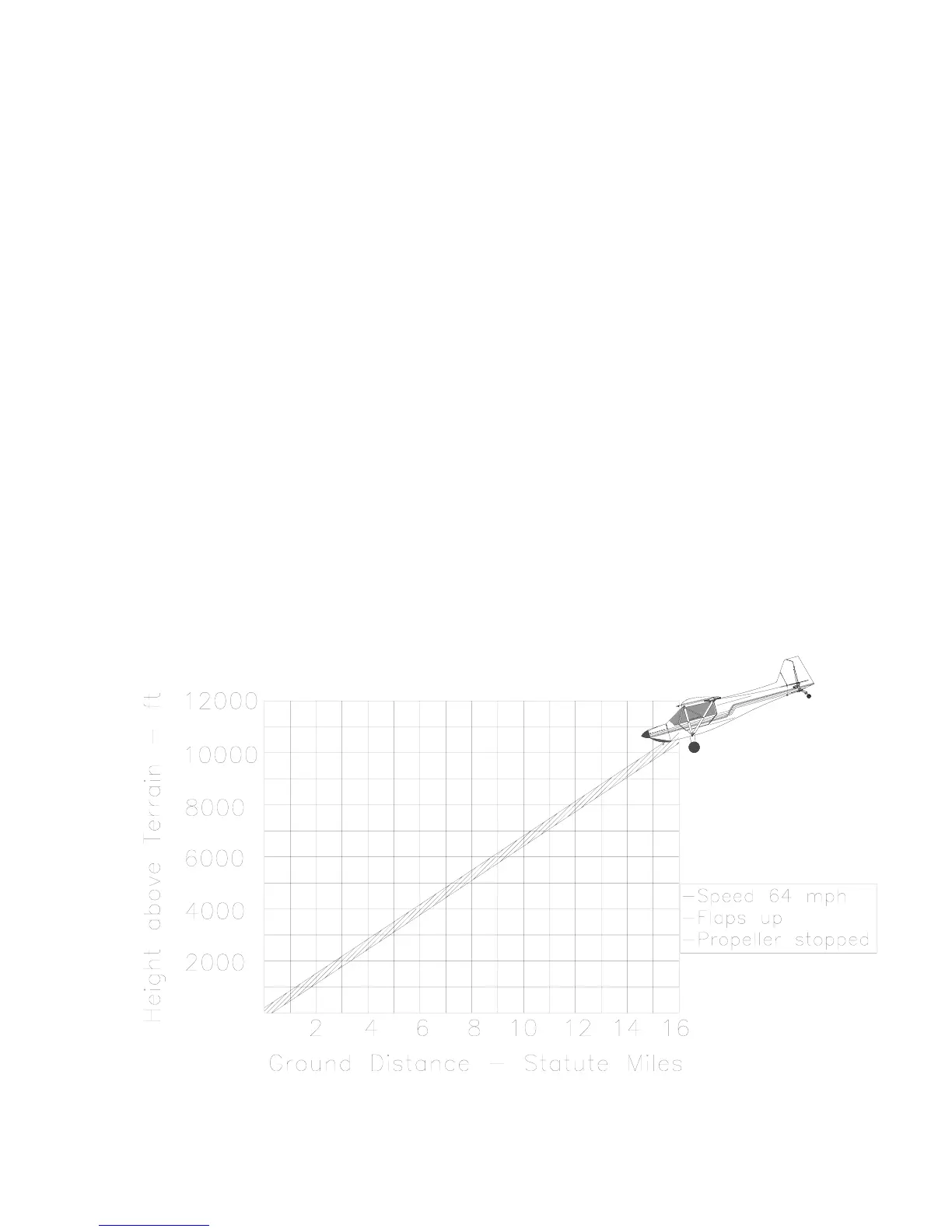
After an engine failure in flight, the best glide speed (64 mph) should be established as
quickly as possible. While gliding toward a suitable landing site, an effort should be
made to identify the cause of the failure. If time permits, an engine restart should be
attempted as shown on the checklist. If the engine cannot be restarted, a forced landing
without power must be completed.
Figure 5-1. Maximum Glide

Table of Contents

Related product manuals