EasyManua.ls Logo

RCA DRD102RW - Page 106

RCA DRD102RW
144 pages
Print Icon
To Next Page IconTo Next Page
To Next Page IconTo Next Page
To Previous Page IconTo Previous Page
To Previous Page IconTo Previous Page
Loading...
Installation/Aligning the Dish 107
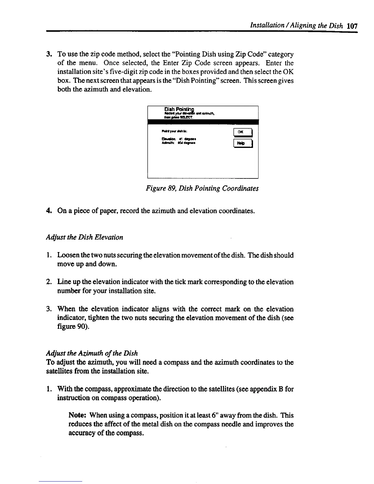
3. To use the zip code method, select the "Pointing Dish using Zip Code" category
of the menu. Once selected, the Enter Zip Code screen appears. Enter the
installation site's five-digit zip code in the boxes provided and then select the OK
box. The next screen that appears is the "Dish Pointing" screen. This screen gives
both the azimuth and elevation.
Dish F_intino
4_ _
Figure 89, Dish Pointing Coordinates
4. On a piece of paper, record the azimuth and elevation coordinates.
Adjust the Dish Elevation
1. Loosen the two nuts securing the elevation movement of the dish. The dish should
move up and down.
2. Line up the elevation indicator with the tick mark corresponding to the elevation
number for your installation site.
3. When the elevation indicator aligns with the correct mark on the elevation
indicator, tighten the two nuts securing the elevation movement of the dish (see
figure 90).
Adjust the Azimuth of the Dish
To adjust the azimuth, you will need a compass and the azimuth coordinates to the
satellitesfromtheinstallationsite.
1. With the compass, approximate the direction to the satellites (see appendix B for
instruction on compass operation).
Note: When using a compass, position it at least 6" away from the dish. This
reduces the affect of the metal dish on the compass needle and improves the
accuracy of the compass.