EasyManua.ls Logo

RCA DRD102RW - Page 113

RCA DRD102RW
144 pages
Print Icon
To Next Page IconTo Next Page
To Next Page IconTo Next Page
To Previous Page IconTo Previous Page
To Previous Page IconTo Previous Page
Loading...
114 Troubleshooting
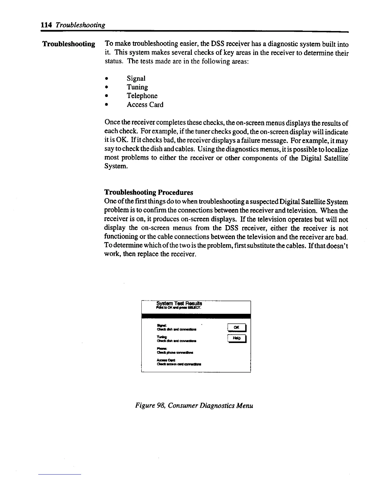
Troubleshooting To make troubleshooting easier, the DSS receiver has a diagnostic system built into
it. This system makes several checks of key areas in the receiver to determine their
status. The tests made are in the following areas:
Signal
Tuning
Telephone
Access Card
Once the receiver completes these checks, the on-screen menus displays the results of
each check. For example, if the tuner checks good, the on-screen display will indicate
it is OK. If it checks bad, the receiver displays a failure message. For example, it may
say to check the dish and cables. Using the diagnostics menus, it is possible to localize
most problems to either the receiver or other components of the Digital Satellite '_
System.
Troubleshooting Procedures
One of the first things do to when troubleshooting a suspected Digital Satellite System
problem is to confirm the connections between the receiver and television. When the
receiver is on, it produces on-screen displays. If the television operates but will not
display the on-screen menus from the DSS receiver, either the receiver is not
functioning or the cable connections between the television and the receiver are bad.
To determine which of the two is the problem, first substitute the cables. If that doesn't
work, then replace the receiver.
_em Te_ Re6uns
OK Iltd _tt_ EII.IECT.
IF_hll;
Olmak _th _ l
t_k_anel
_Cav_
_m_tclm
Figure 98, Consumer Diagnostics Menu