EasyManua.ls Logo

REMKO ETF Series - Air Dehumidification

REMKO ETF Series
28 pages
Print Icon
To Next Page IconTo Next Page
To Next Page IconTo Next Page
To Previous Page IconTo Previous Page
To Previous Page IconTo Previous Page
Loading...
4
REMKO series ETF Eco
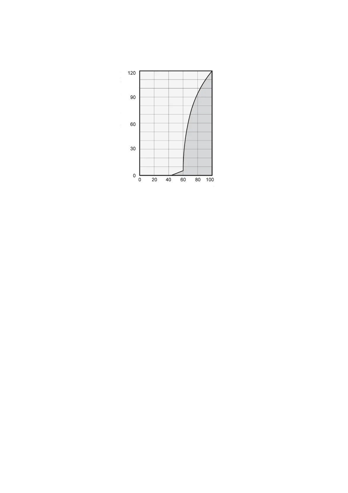
It is evident that the corrosion
rate below 50 % relative humidity
(RH) is low, and below 40 % is
negligible.
The corrosion rate increases
significantly above 60 % RH.
This threshold for damage as the
result of humidity also applies to
other materials, such as powdery
substances, packaging, wood and
electronic units.
Buildings may be dried in a variety
of ways:
1. By heating and air exchange:
The air in the room is heated
in order for moisture to be
removed and then this air is fed
outside. All of the energy that
is involved is lost together with
the moist air that is released.
2. By air dehumidification:
The moist air that is present
within an enclosed space is
continuously dehumidified
according to the condensation
principle.
The correlations occurring when
air is dehumidified are based on
physical laws.
These are depicted here in
graphical form in order to provide
you with a brief overview of the
principles of air dehumidification.
The use of
REMKO air dehumidifiers
Even if windows and doors
are well insulated, water and
moisture are still capable of
penetrating thick concrete walls.
The water required for setting
when producing concrete,
mortar and plaster etc. may only
be diffused after 1-2 months.
Even moisture trapped in the
masonry after a flood is released
very slowly.
The same is also true of
moisture contained in stored
materials for example.
The moisture (water vapour)
released from parts of a building
or materials is absorbed by the
surrounding air. As a result, the
moisture content increases, which
ultimately gives rise to corrosion,
mould, rot, peeling of paint and
other unwanted damage.
By way of example, the diagram
shows the corrosion rate of metal
in different levels of humidity.
Air dehumidification
With regard to energy
consumption, air dehumidification
has one distinct advantage:
Energy expenditure is limited
exclusively to the air volumes
present. The mechanical heat that
is released by the dehumidification
process is fed back into the room.
Under normal use, the
air
dehumidifier
uses approximately
25 % of the energy that is
required for the
“heating and
ventilating” principle.
Relative air humidity
Our ambient air is a gaseous
mixture which always contains
a certain volume of water in the
form of water vapour. This volume
of water is specified in g per kg of
dry air (absolute moisture content).
1 m
3
of air weighs approx. 1.2 kg
at 20 °C
Depending on the temperature,
each kg of air is only capable of
absorbing a certain volume of
water vapour. Once this capacity
has been reached, the air is
referred to as “saturated” and has
a relative humidity (RH) of 100 %.
Relative humidity is understood
to mean the ratio between the
current quantity of water vapour in
the air and the maximum possible
quantity of water vapour at the
same temperature.
The ability of the air to absorb
water vapour increases as
the temperature rises. I.e.
the maximum possible (absolute)
water content becomes greater as
the temperature rises.
Corrosion speed
Relative humidity %

Related product manuals