EasyManua.ls Logo

Robin RGV13000T - Page 5

Robin RGV13000T
47 pages
Print Icon
To Next Page IconTo Next Page
To Next Page IconTo Next Page
To Previous Page IconTo Previous Page
To Previous Page IconTo Previous Page
Loading...
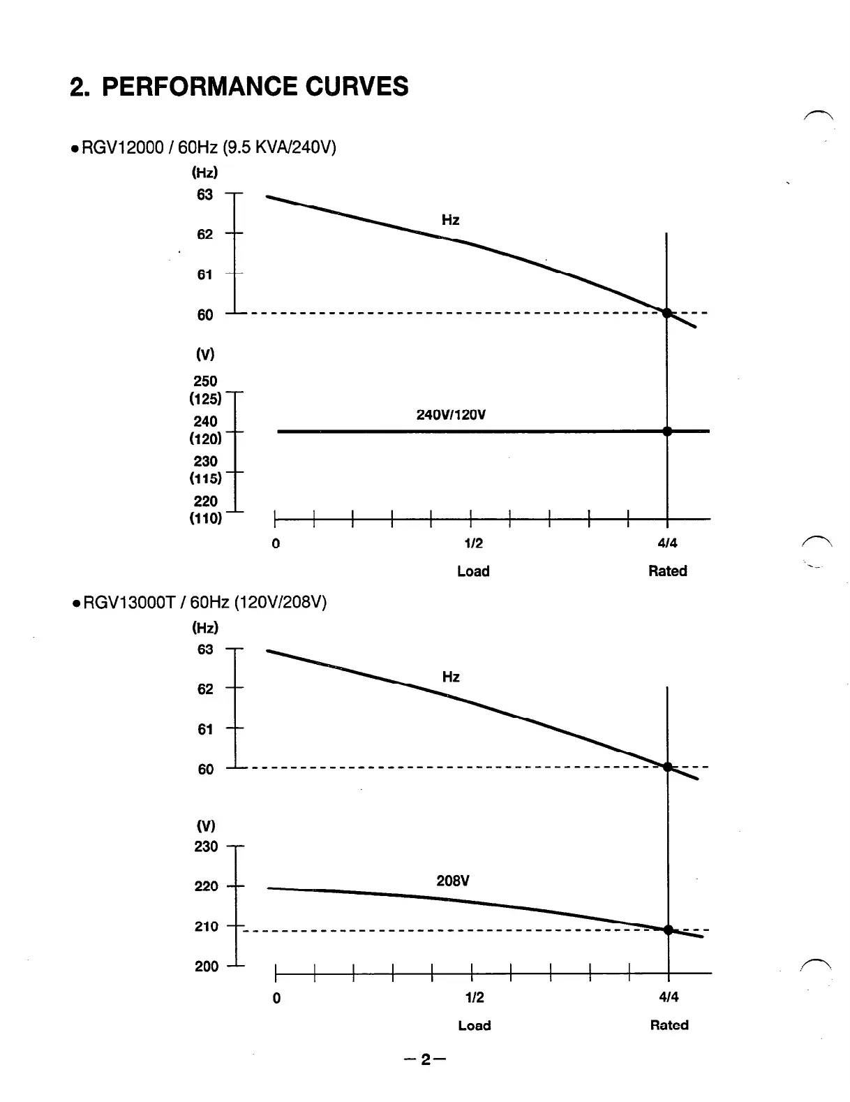
2. PERFORMANCE CURVES
l
RGV12000 / 60Hz (9.5 KW240V)
(Hz)
63
HZ
62
.I1
61
60
------------------------------------------
(VI
250
(125)
240
24OVl12OV
(120)
230
(115)
220
(110)
I/~~~~~~~~~
112
Load
,---
\
4/4
Rated
. RGV13000T / 60Hz (12OW208V)
(Hz)
63
62
61
60
230
T
220
t
208V
0
l/2
414
Load
Rated
-2-

Related product manuals