EasyManua.ls Logo

Salter ULTIMATE ACCURACY ANALYSER - Figyelmeztető Jelzések; Műszaki Leírás

Salter ULTIMATE ACCURACY ANALYSER
48 pages
Print Icon
To Next Page IconTo Next Page
To Next Page IconTo Next Page
To Previous Page IconTo Previous Page
To Previous Page IconTo Previous Page
Loading...
30
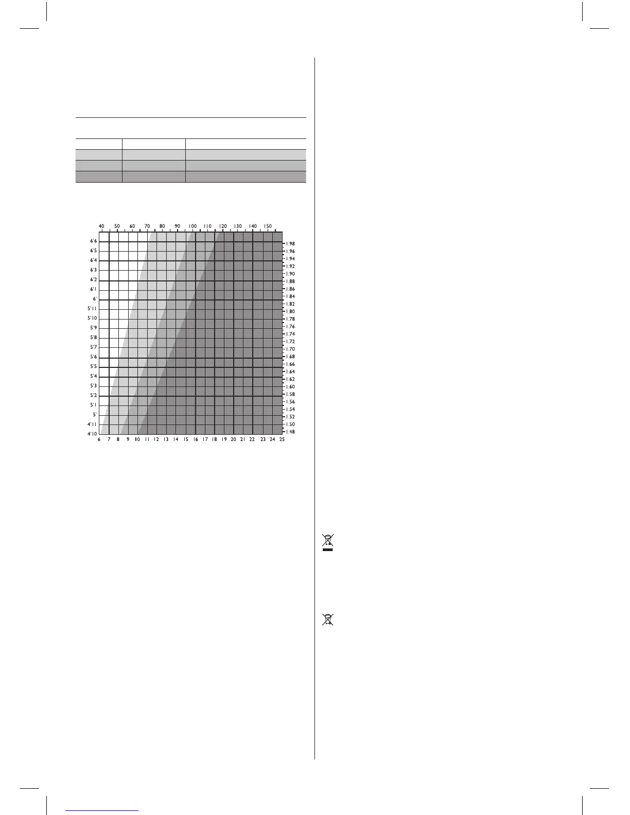
MIT JELENT AZ ÉN BMI-ÉRTÉKEM? A testtömeg index (BMI) súly-magasság index,
amelyet gyakran használnak a felnőttek alultáplált, túlsúlyos vagy kövér kategóriába
történő besorolásához. Ez a mérleg kiszámolja az Ön BMI értékét. Az alábbi
ábrán és táblázatban található BMI kategóriákat elismeri a WHO (Egészségügyi
Világszervezet), és az Ön BMI értékének értelmezésére használhatók. A BMI
kategóriája az alábbi táblázattal azonosítható.
BMI kategória: BMI érték értelme
Kifejezetten a BMI-re alapuló
egészségi kockázat
<18.5 Alultáplált Mérsékelt
18.6 - 24.9 Normál Alacsony
25 - 29.9 Túlsúlyos Mérsékelt
30+ Kövér Magas
FONTOS: Ha az ábra/táblázat azt mutatja, hogy az Ön súlya kívül esik a „normál
súlytartományom, mielőtt bármit is tenne, forduljon orvoshoz. A BMI osztályozások
csak felnőttek számára (több mint 20 év) készültek.
kg
m
st
ft
ALAP METABOLIKUS RÁTA (BMR) –MIT JELENT? Az alap metabolikus ráta (BMR)
a test által nyugalmi állapotban a normális testfunkciók fenntartásához felhasznált,
becsült energia (kalóriában mérve). Ez a folyamatos munka kb. 60-70 %-át teszi ki
a test által felhasznált kalóriának és magában foglalja a szívműködést, légzést és a
testhőmérséklet fenntartását. A BMR-t számos tényező befolyásolja, ezek közé tartozik
az életkor, a testtömeg, testmagasság, nem, étkezési és testgyakorlási szokások.
KÉRDÉSEK ÉS VÁLASZOK
Pontosan hogyan mérik a testzsírt és a testvizet? Ez a Salter mérleg a BIA (Bioe-
lectrical Impedance Analysis – Bioelektromos impedancia elemzés) mérési módszert
használja. A mérleg a lábakon és a testen keresztül kis erősségű áramot vezet át. Ez
az áram könnyen áthalad a nagyobb nedvességtartalmú zsírmentes izomszöveten,
azonban nehezen halad át a zsírszöveten. Ezért a test impedanciájának
(vagyis az árammal szembeni ellenállásának) megmérésével meghatározható az
izom mennyisége.Ebből megbecsülhető a zsír és víz mennyisége.
Méréskor milyen áramerősség halad át rajtam? Biztonságos? Az áramerősség
kisebb, mint 1mA, amely nagyon kevés és tökéletesen biztonságos. Nem lehet
érzékelni. Kérjük jegyezze meg, hogy ezt az eszközt nem használhatják beépített
elektromos orvosi eszközzel, például szívritmus-szabályzóval rendelkező személyek,
mert fennáll a beépített orvosi eszköz károsodásának esélye.
Ha a testzsír és testvíz százalékot különböző napszakokban mérem, az értékek
jelentősen eltérnek. Melyik érték a helyes? A testzsír százalék mérés a test víz-
tartalmának függvényében változik, a test víztartalma pedig a nap folyamán változik.
Nincs jó vagy rossz idő a mérés elvégzésére, de törekedjen arra, hogy a méréseket
rendszeres időközönként végezze el, amikor úgy véli, hogy teste megfelelően
hidratált. Ne végezzen méréseket fürdés vagy szauna után, intenzív edzést után vagy
1-2 órán belül a nagyobb mennyiségű élelmiszer- vagy italfogyasztást követően.
Barátomnak egy másik gyártó által gyártott testtömeg analizátora van.
Amikor azt használtam, különböző eredményt adott a testzsír mérés. Miért
van ez? Különböző testzsír analizátorok a test különböző részeit mérik és
különböző matematikai algoritmusokat használnak a testzsír-százalék algoritmus
kiszámolásához. A legjobb tanács az, ha nem veti össze a különböző készülékeket,
hanem mindig ugyanazt a készüléket használja a változások nyomon követéséhez.
Hogyan értelmezzem a testzsír- és a testvíz százalék értéket? Kérjük, tekintse
meg a termékhez mellékelt testzsír- és testvízszázalék táblázatot. A táblázat alapján
eldöntheti, hogy az Ön testzsír és testvíz százalék értéke (az életkorhoz és a nemhez
viszonyítva) az egészséges kategóriába tartozik-e.
Mit tegyek, ha a testzsír értékem nagyon „magas”? A megfelelő diéta,
folyadékbevitel és edzésprogram csökkenti a testzsír-százalékot. Egy ilyen program
elkezdése előtt ki kell kérni szakorvos tanácsát.
Miért különbözik ennyire a férfiak és a nők testzsír-százaléka? A nők
természetes módon nagyobb mennyiségű zsírral rendelkeznek, mert testfelépítésük
különböző. A nagyobb mennyiségű zsír a terhesség, szoptatás stb. során is
szükséges.
Mit tegyek, ha a testvíz értékem „alacsony”? Gondoskodjon róla, hogy mindig
elegendő vizet igyon és dolgozzon azon, hogy zsírszázaléka az egészséges
tartományba essen.
Miért kerüljem a testzsíranalizátoros mérleg használatát terhesség közben?
Terhesség közben a női test összetétele jelentősen megváltozik a fejlődő gyermek
táplálása érdekében. Ilyen körülmények mellett a testzsír-százalék értékek
pontatlanok és félrevezetők lehetnek. A terhes nők ebből kifolyólag csak a
súlyfunkciót használhatják.
HASZNÁLAT ÉS GONDOZÁS Mindig ugyanarra a felületre helyezett ugyanazon
mérlegen méretkezzen. Ne hasonlítsa össze a mért eredményt más mérlegeken mért
eredménnyel, mert a gyártói tűréshatárok miatt az értékek eltérők lehetnek.
• A legnagyobb pontosság és ismételhetőség elérése érdekében a mérleget helyezze
kemény, vízszintes felületre. • Naponta mindig ugyanakkor méretkezzen, ruha és
lábbeli nélkül. Például kiváló időpont a reggeli méretkezés. • A mérleg felfele vagy
lefele kerekít a legközelebbi értékre. Ha kétszer méretkezik és két különböző értéket
kap, az Ön súlya a két érték között van. • A mérleget nedves ronggyal tisztítsa. Ne
használjon tisztítószereket. • A mérlegbe nem kerülhet víz, mert az károsíthatja az
elektronikát. • Mivel a mérleg precíziós műszer, kezelje óvatosan. Ne ejtse el, és ne
ugorjon rá. • Figyelmeztetés: a mérőlap nedvesen csúszóssá válhat.
HIBAKERESÉSI ÚTMUTAMezítláb kell a mérlegre állnia, ha testzsír és
össztestvíz méréseket kíván végezni. • A talpán lévő bőr állapota befolyásolhatja a
mérést. A legpontosabb és legkövetkezetesebb mérés érdekében egy nedves ruhával
törölje meg a talpát, és még enyhén nedves állapotban lépjen a mérlegre.
FIGYELMEZTETŐ JELZÉSEK
Lo cserélje ki az elemet.
O-Ld A súly meghaladja a maximális teljesítményt.
Err tartományon kívül, helytelen működés vagy a láb nem érintezik
megfelelően. Instabil súly. Álljon mozdulatlanul.
MŰSZAKI LEÍRÁS
80 cm - 220 cm Atléta mód = 15-50 év
2’7” - 7’3” d = 0.1 % testzsír
6 - 100 év d = 0.1 % testvíz
Férfi/Nő d = 0.1 % izomtömeg
12 felhasználói memória d = 1 kcal BMR
Gyerek üzemmód = 6-12 év
WEEE-MAGYARÁZAT Ez a jelölés azt jelzi, hogy ezt a terméket az Európai
Unióban nem szabad a háztartási hulladék közé dobni. Az ellenőrizetlen
hulladékkezelésből származó környezeti vagy egészségügyi kár elkerülése végett, és
a tárgyi készletek fenntartható kezelése jegyében felelősségteljesen hasznosítsa
újra. A használt eszköz visszaküldéséhez kérjük, használja a visszaküldő és gyűjtő
rendszereket, vagy lépjen kapcsolatba azzal a forgalmazóval, ahonnan a készüléket
vásárolta. A terméket ezek a szolgáltatók környezetvédelmileg biztos újrahasznosító
helyre viszik.
ELEMEKRE VO NATKOZ Ó IRÁNYELV Ez a szimbólum azt jelzi, hogy az elemek
nem dobhatók háztartási hulladék közé, mivel olyan anyagokat tartalmaznak,
amelyek károsak lehetnek a környezetre és az egészségre. Kérjük, vigye a használt
elemeket a kijelölt gyűjtőhelyre.
GARANCIA Ez a termék csak háztartási felhasználásra készült. A Salter díjmentesen
megjavítja vagy kicseréli a terméket vagy a termék bármely részét a vásárlástól
számított 15 éven belül, ha igazolható, hogy a hibát a gyártási vagy anyaghiba
okozza. A garancia lefedi a mérleg működését befolyásoló mozgó gépalkatrészeket.
A garancia nem fedi le a természetes kopás és elhasználódás által okozott
kozmetikai értékcsökkenést vagy a baleset vagy rongálódás miatti károsodást.
A mérleg vagy részeinek kinyitása vagy szétszerelése a garancia megszűnését
eredményezi. A garanciaigényt alá kell támasztani a vásárlást igazoló nyugtával,
és a terméket vissza kell küldeni a postai díjat megfizetve a Salter céghez (vagy
az Egyesült Királyságon kívüli területek esetén a Salter által kinevezett helyi
képviselőhöz). Gondosan kell eljárni a mérleg csomagolásakor, hogy szállítás közben

Related product manuals