EasyManua.ls Logo

Samsung 840 - Hot Plugging

Samsung 840
43 pages
Print Icon
To Next Page IconTo Next Page
To Next Page IconTo Next Page
To Previous Page IconTo Previous Page
To Previous Page IconTo Previous Page
Loading...
the PHY into reduced power consumption mode, contributing to the drive’s reputation for having the industry’s lowest
idle power consumption.
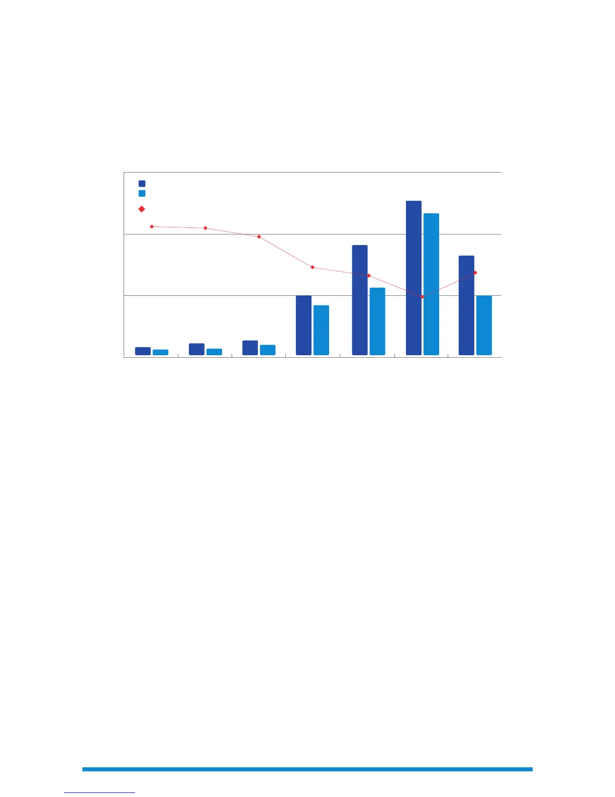
Without HIPM or DIPM, power consumption will increase dramatically, as shown in the graph below via drive “C,” which
does not use these power management features. In general, such power management features are enabled by default
on laptop systems. Desktops, which are free from battery constraints, generally operate with these features disabled –
thus increasing drive power consumption in favor of slight performance advantages.
NCQ
AHCI also affects the ability of Samsung’s SSDs to reach their maximum Random QD32 performance. This is because
AHCI is required for Native Command Queuing (NCQ) to function. Because SSDs enjoy extremely fast speeds, storage
is no longer the bottleneck of a PC system. NCQ helps an SSD deal with situations where it finds latency on the host, a
phenomenon unheard of with traditional HDDs. Additionally, NCQ allows the SSD controller to process commands in
parallel, improving performance and reducing latency.
Hot plugging
AHCI is also required in order to enable “hot plugging,” a kind of plug-and-play functionality that allows an SSD to be
plugged into or removed from a system without the need to shut the computer down. This is convenient for multi-drive
systems where an SSD is in use as a secondary drive. Rather than having to quit all running programs and shut down the
computer, a new secondary SSD can be inserted to complement or replace an existing drive without adding unnecessary
steps to the workflow.
What if my system doesn’t support AHCI?
If you have a system that does not support AHCI, or if you fail to enable it properly, your system will run in “IDE emulation
mode, a kind of compatibility mode that mimics the functionality of the older “Integrated Drive Electronics” ATA
interface. While your SSD will not display its full performance potential or be able to take advantage of all of the latest
SATA functionality, it will still be able to function on your system.
AHCI Wrap-up
Enabling AHCI is crucial to get the most performance out of your Samsung SSD. If you notice that performance is lower
than expected, one of the first things to check is whether or not AHCI is properly configured. Samsung’s latest Magician 4.0
software can assist in determining if AHCI is supported and/or enabled. Once set up, AHCI will enable your Samsung SSD
to achieve superior performance, lower power consumption, and improved convenience.
356
355
348
327
321
306
323
MM07 Average Power Consumption (Watt)
840 PRO
256GB
840
256GB
830
256GB
A B C 7200RPM
HDD 500GB
1.5
1.0
0.5
0.068
0.082
0.117
0.497
1.273
0.801
0.813
0.042
0.057
0.076
0.365
1.18
0.5
0.594
0
Idle Power Consumption (Watt)
Battery Life (min.)

Related product manuals