EasyManua.ls Logo

Samsung LE37M87BDX - Page 99

Samsung LE37M87BDX
143 pages
To Next Page IconTo Next Page
To Next Page IconTo Next Page
To Previous Page IconTo Previous Page
To Previous Page IconTo Previous Page
Loading...
14 Reference Infomation
14-8
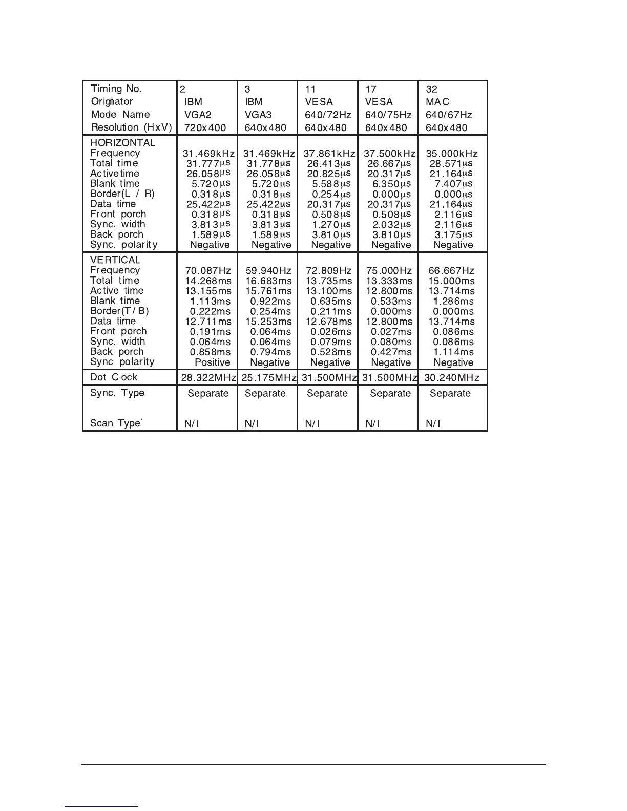
14-3-2 Supported Modes (1)

Related product manuals