EasyManua.ls Logo

Samsung SR-S24FTA - 10-5) When alarm continues to sound,

Samsung SR-S24FTA
134 pages
Print Icon
To Next Page IconTo Next Page
To Next Page IconTo Next Page
To Previous Page IconTo Previous Page
To Previous Page IconTo Previous Page
Loading...
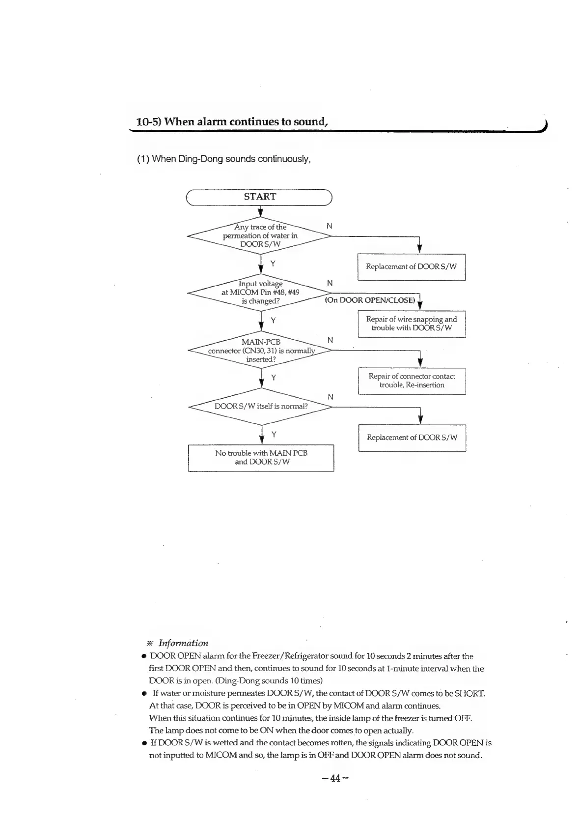
10-5)
When
alarm
continues
to
sound,
.
)
(1)
When
Ding-Dong
sounds
continuously,
Any
trace
of
the
permeation
of
water
in
DOOR
S/W
Replacement
of
DOOR
S/W
N
{On
DOOR
OPEN/CLOSE)
Repair
of
wire
snapping
and
trouble
with
DOOR
S/W
N
Repair
of
connector
contact
trouble,
Re-insertion
N
Replacement
of
DOOR
S/W
Input
voltage
at
MICOM
Pin
#48,
#49
is
changed?
connector
(CN30,
31)
is
normally
DOOR
S/W
itself
is
normal?
No
trouble
with
MAIN
PCB
and
DOOR
S/W
x
Information
e@
DOOR
OPEN
alarm
for
the
Freezer/Refrigerator
sound
for
10
seconds
2
minutes
after
the
first
DOOR
OPEN
and
then,
continues
to
sound
for
10
seconds
at
1-minute
interval
when
the
DOOR
is
in
open.
(Ding-Dong
sounds
10
times)
e
if
water
or
moisture
permeates
DOOR
S/W,
the
contact
of
DOOR
S/W
comes
to
be
SHORT.
At
that
case,
DOOR
is
perceived
to
be
in
OPEN
by
MICOM
and
alarm
continues.
When
this
situation
continues
for
10
minutes,
the
inside
lamp
of
the
freezer
is
tumed
OFF.
The
lamp
does
not
come
to
be
ON
when
the
door
comes
to
open
actually.
e
If
DOORS
/W
is
wetted
and
the
contact
becomes
rotten,
the
signals
indicating
DOOR
OPEN
is
not
inputted
to
MICOM
and
so,
the
lamp
is
in
OFF
and
DOOR
OPEN
alarm
does
not
sound.

Other manuals for Samsung SR-S24FTA

Related product manuals