EasyManua.ls Logo

Sanyo SGP-E70J2GU2 - Page 136

Sanyo SGP-E70J2GU2
175 pages
To Next Page IconTo Next Page
To Next Page IconTo Next Page
To Previous Page IconTo Previous Page
To Previous Page IconTo Previous Page
Loading...
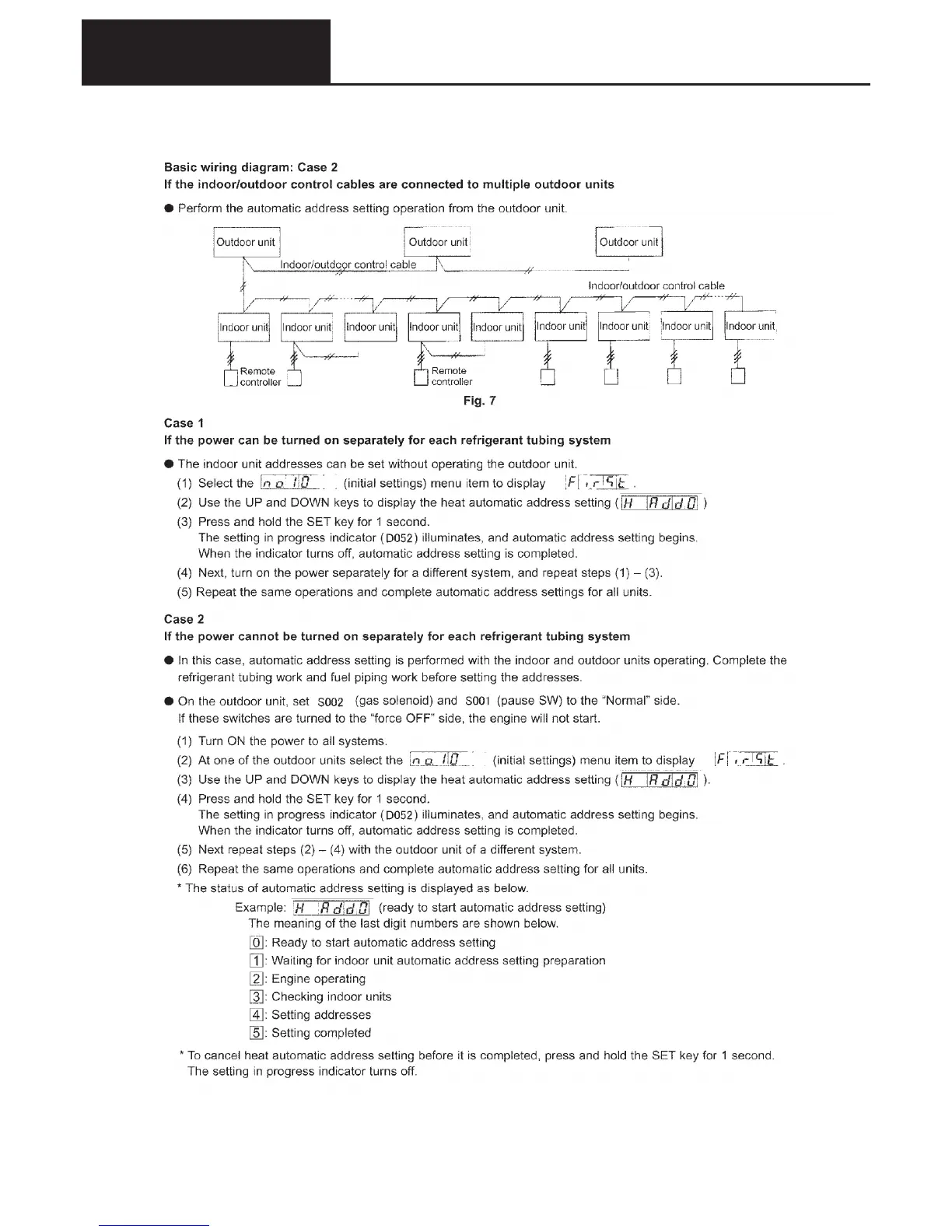
Construction
E - 49
5. Commissioning

Table of Contents

Related product manuals