EasyManua.ls Logo

Sanyo SGP-E70J2GU2 - Page 149

Sanyo SGP-E70J2GU2
175 pages
Print Icon
To Next Page IconTo Next Page
To Next Page IconTo Next Page
To Previous Page IconTo Previous Page
To Previous Page IconTo Previous Page
Loading...
Periodicinspection
G - 2
1. Periodic maintenance contract
In order to use a gas heat pump (GHP) air conditioning system for a long time, periodic inspection by a specialist service
person is necessary. The company operates a yearly periodic inspection contract system, so when the GHP is purchased
customers are encouraged to take out a contract.
After entering into a contract, a specialist service person will visit your installation for periodic inspection, at intervals
depending upon the number of hours of operation.
For further details regarding the inspection contract, please inquire at the dealer where this system was purchased or our
service company.
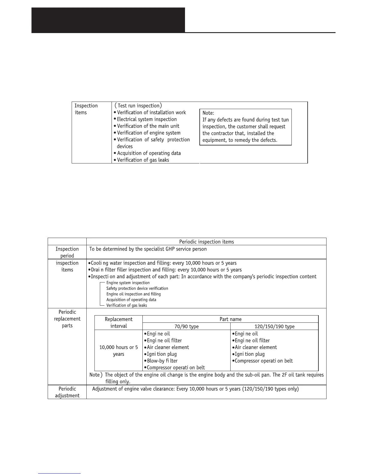
(1)Test run
A charge is made for periodic inspection.
NoteThe periodic change period is calculated on the basis of 2,000 operating hours per year, and 13 years usable life. If it
becomes necessary to replace parts other than the above periodic replacement parts, there will be a charge separate from
the periodic inspection contract charge.
NoteIf dust and dirt get into the fan of the outdoor unit heat exchanger this will result in reduced performance or breakdown.
Therefore, it is recommended that you consult with the dealer where the system was purchased or with a specialist service
company, and have the heat exchangers cleaned. (A charge will be made for this service)
(2)Guarantee period
One year from the day of completion of hand-over of the equipment after making test run.
However, for the engine and parts requiring periodic replacement, the period shall be the shorter of one year from the
date of completion of hand-over of the system after commissioning or 2,000 operating hours.
(3)Periodic inspection items outside the guarantee period.
The number of periodic inspections per year varies depending upon the hours of operating the heating and cooling
system.
The table below shows the case for 2,000 hours of heating/cooling operation in one year. If a periodic inspection
contract is concluded, then a GHP specialist service person will visit, carry out the indicated inspections, replace parts,
and make adjustments. The time on site will be determined by the service person

Table of Contents

Related product manuals