EasyManua.ls Logo

Shure 520DX - Low Impedance Connectivity; Technical Specifications

Shure 520DX
20 pages
Print Icon
To Next Page IconTo Next Page
To Next Page IconTo Next Page
To Previous Page IconTo Previous Page
To Previous Page IconTo Previous Page
Loading...
3
LOW IMPEDANCE
To connect the 520DX to a low impedance device, such as a
mixer, use a low-to-high impedance-matching line transformer,
such as the Shure model A95U.
NOTE: The 520DX can be rewired for low impedance, but this
disables the volume control. Contact the Shure Applications
Group at (847) 600-8440 for more information.
SPECIFICATIONS
Type
Dynamic
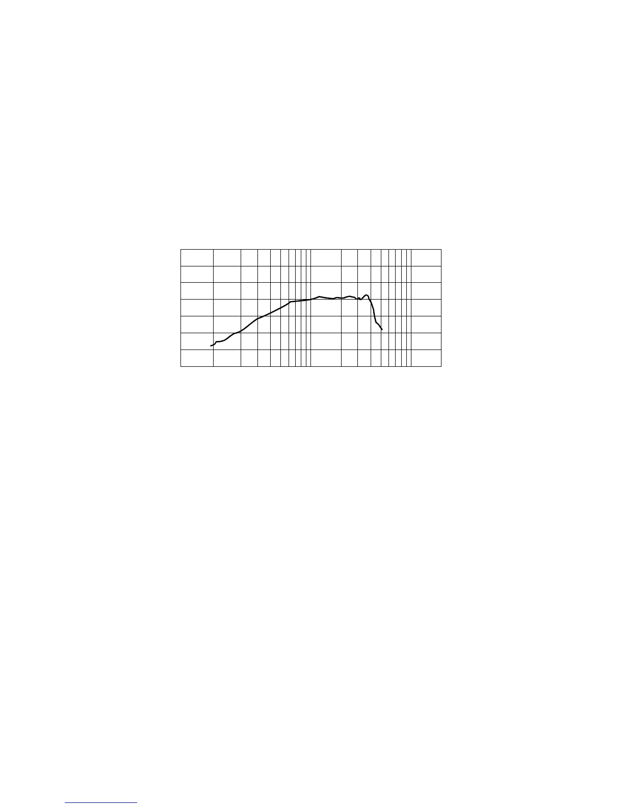
Frequency Response
100 to 5,000 Hz (Figure 2)
TYPICAL FREQUENCY RESPONSE
FIGURE 2
Polar Pattern
Omnidirectional
Impedance
High, unbalanced
Load Impedance Range
Minimum: 100 kΩ
Output Level (at 1,000 Hz)
Open Circuit Voltage –38.0 dBV/Pa (13 mV)*
*1 Pa = 94 dB SPL
Polarity
Positive sound pressure on diaphragm produces positive volt-
age on tip with respect to sleeve (ground) of microphone out-
put phone plug connector
Cable
6.1 m (20 ft) two conductor shielded with standard 1/4-inch
phone plug attached (supplied wired for high-impedance, un-
balanced connection)
Case
Green and chrome finished die casting
Dimensions
63 mm (2.5 in) max diameter, 82.6 mm (3 1/4 in) long
Net Weight (with cable)
737 grams (26 oz)
200001000 1000050 100
98765432
98765432
+10
0
-10
Hz
dB

Related product manuals