EasyManua.ls Logo

SIATA V360 - General Characteristics and Technical Specifications; Technical Specifications

SIATA V360
25 pages
Print Icon
To Next Page IconTo Next Page
To Next Page IconTo Next Page
To Previous Page IconTo Previous Page
To Previous Page IconTo Previous Page
Loading...
S.I.A.T.A. S.r.l Società Italiana apparecchiature trattamento acqua MAN0031 BOZZA Pag. 4 of 25
GENERAL CHARACTERISTICS – TECHNICAL SPECIFICATIONS
The “360” valves represent an essential element for the realisation of systems of various types and for
various uses.
Softening – single, duplex, or on more columns for domestic industrial or laboratory use.
Demineralisation and decarbonisation – single, duplex, for laboratory and industrial use and for all uses
which require water with guaranteed quality characteristics.
Filtration – single or duplex for all applications shown above.
The valves are made from materials which guarantee the maximum durability and quality.
The valves are available with a wide range of timers, for the control of all operative phases of service and
regeneration, from the simplest electromechanical timer with a weekly timer, to the sophisticated electronic
timers in various models which allow for volume and volume/time controls, controls of salinity in
microsiemens/cm etc.
With the electronic systems, all the times of the operative phase operations are programmable, relative to
the type and dimensions of the system.
For the specific characteristics of the timers, see the relevant manual.
TECHNICAL SPECIFICATIONS
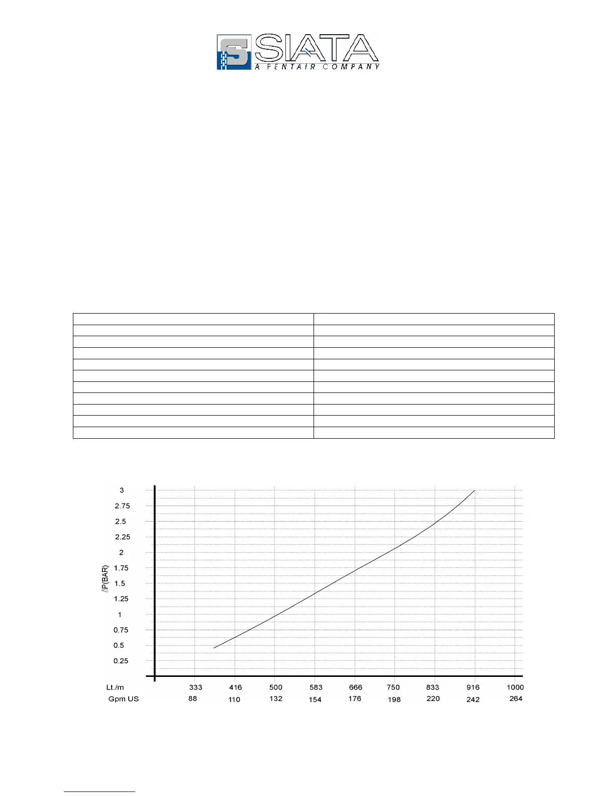
Running pressure : 2 - 6 bar
Max. Running load : 45m
3
/h
For variables of the value see graph : -
Countercurrent rinse load : max. 12 m
3
/h
Equicurrent fast rinse load : 480-1300 l/h
Equicurrent fast rinse load : max. 18 m
3
/h
Static resistance to pressure : 22 bar
Max quantity regenerable resin : 1200 l.
Running temperature : 5 - 40° c
Basic materials of principal components : abs + fv
Entry/exit attachments : 2” female gas
LOAD LOSS GRAPH

Related product manuals