EasyManua.ls Logo

Siemens 7 - Data Transfer; Block Flow Diagram for Data Received by the Module; Figure 6: Block Flow Diagram for Data Received by the Module

Siemens 7
36 pages
Print Icon
To Next Page IconTo Next Page
To Next Page IconTo Next Page
To Previous Page IconTo Previous Page
To Previous Page IconTo Previous Page
Loading...
Multiplexer Driver Developers Guide
7.4 Data Transfer
s
Mux_Drv_DevGuide_v07 Page 30 of 36 2006-9-27
Confidential / Released
7.4 Data Transfer
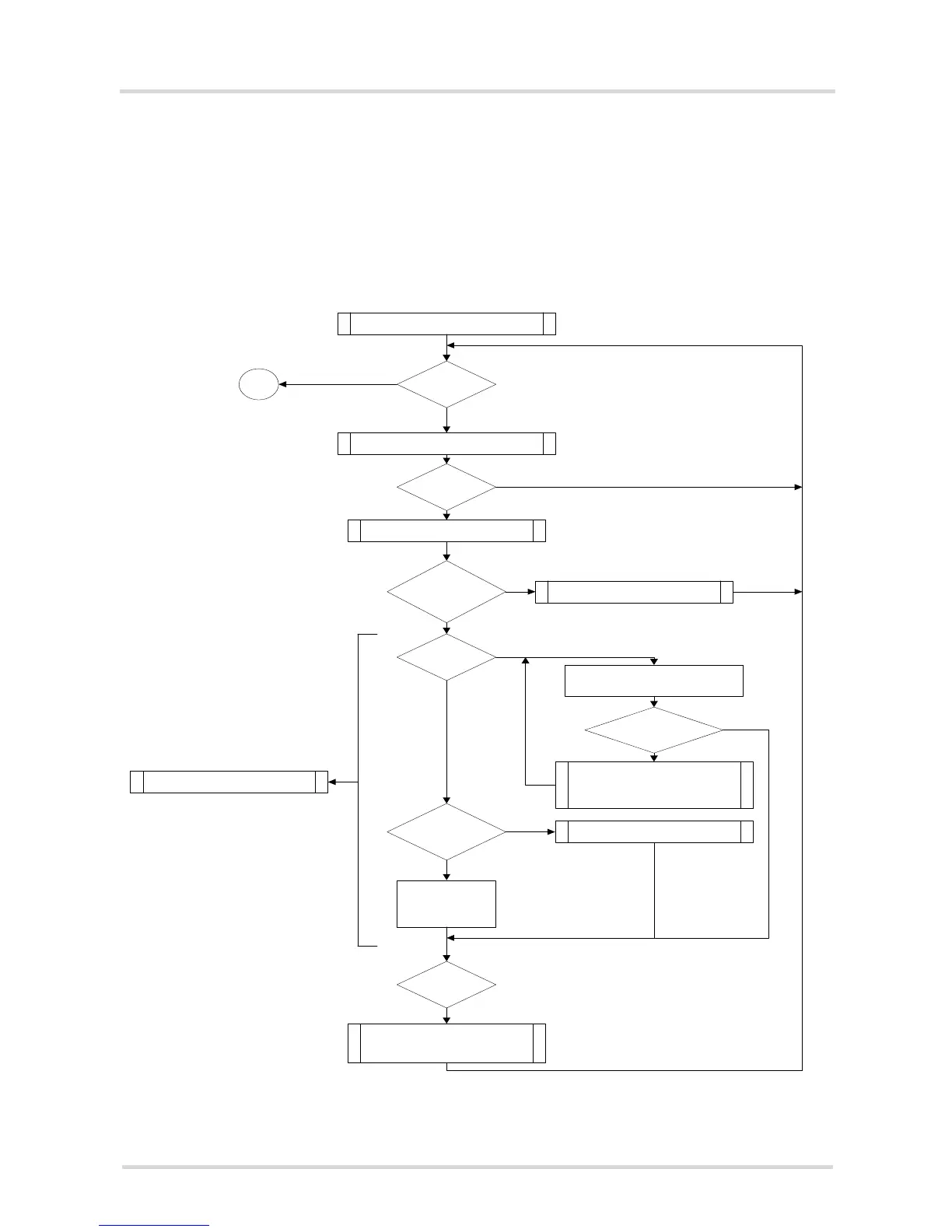
7.4.1 Block Flow Diagram for Data Received by the Module
Figure 6: Block flow diagram for data received by the module
SerMux functions sequence, if characters from the physical Device
to the SerMux Object are indicated
W rIndicateReadBuffer
ProcessChar
Frame valid?
Address != DLCI 0
&& UIH-Frame?
DemuxIndicateFrame
SerPortIndicateFrame
other ports than 0
yes
yes
no
UIH-Frame?
UA-Frame
or
DM-Fram e?
SerPort0ConfirmRequest
no
no
yes
yes
SABM or
DISC Frame
not valid
(Master)
1
SerPort0ScanUIHControl see
sheet 2,
check a UIH-ControlFrame
return SendPort
all UIH-Control
Commands scanned?
search the next Control Command
in the
Information field
no
all bytes
scanned?
no
yes
no
no
yes
ret
SerPort0IndicateFrame()
SendPort==
TRUE?
SerM uxSend(), m ust
call if receive a FC-Bit=0, then
start the sending

Table of Contents

Related product manuals