EasyManua.ls Logo

Sime Format 25/60 - Page 15

Sime Format 25/60
Print Icon
To Next Page IconTo Next Page
To Next Page IconTo Next Page
To Previous Page IconTo Previous Page
To Previous Page IconTo Previous Page
Loading...
13
in fase riscaldamento, con una sosta
tecnica del bruciatore di circa 90
secondi che si riscontra sia alla parten-
za a freddo dell’impianto che alle suc-
cessive riaccensioni.
Ciò ad ovviare accensioni e spegnimenti
con intervalli molto ristretti che, in parti-
colare, si potrebbero verificare in
impianti ad elevate perdite di carico.
Ad ogni ripartenza, dopo il periodo di
lenta accensione, la caldaia si posizio-
nerà, per circa 1 minuto, alla pressione
minima di modulazione per poi riportar-
si al valore di pressione riscaldamento
impostato. Con l’inserimento del ponte
si annulleranno sia la sosta tecnica pro-
grammata che il periodo di funziona-
mento alla pressione minima nella fase
di partenza. In tal caso, i tempi che
intercorrono tra lo spegnimento e le
successive accensioni saranno in funzio-
ne di un differenziale di 5°C rilevato
dalla sonda riscaldamento (SM).
ATTENZIONE: Tutte le operazioni sopra
descritte dovranno necessariamente
essere eseguite da personale autorizzato,
pena la decadenza della garanzia.
3.2 SONDE RILEVAMENTO
TEMPERATURA
Nella Tabella 3 sono riportati i valori di resi-
stenza () che si ottengono sulle sonde al
variare della temperatura.
Con sonda riscaldamento (SM) interrotta
la caldaia non funziona in entrambi i servi-
zi. Con sonda sanitario (SB) interrotta la
caldaia funziona solo in riscaldamento.
3.3 ACCENSIONE ELETTRONICA
L'accensione e rilevazione di fiamma è con-
trollata da un unico elettrodo posto sul bru-
ciatore che garantisce la massima sicurezza
con tempi di intervento, per spegnimenti ac-
cidentali o mancanza gas, entro un secondo.
3.3.1 Ciclo di funzionamento
Ruotare la manopola del commutatore in
estate o inverno rilevando dall'accensione
del led la presenza di tensione. L'accensione
del bruciatore avviene entro 10 secondi
max. Si potranno manifestare mancate ac-
censioni con conseguente attivazione del se-
gnale di blocco dell'apparecchiatura che
possiamo così riassumere:
Mancanza di gas
L'elettrodo di accensione persiste nella
scarica per 10 sec. max, non verificando-
si l’accensione del bruciatore l’apparec-
chiatura va in blocco.
Si può manifestare alla prima accensione
o dopo lunghi periodi di inattività con pre-
senza d'aria nella tubazione. Può essere
causata dal rubinetto gas chiuso o da
una delle bobine della valvola che presen-
ta l'avvolgimento interrotto non consen-
tendone l'apertura.
L'elettrodo non emette la scarica
Nella caldaia si nota solamente l'apertura
del gas al bruciatore, trascorsi 10 sec. si
accende la spia di blocco.
Può essere causato dal fatto che il cavo
dell'elettrodo risulta interrotto o non è
ben fissato al morsetto del trasformato-
re d’accensione. L'elettrodo è a massa o
fortemente usurato necessita sostituirlo.
La scheda elettronica è difettosa.
Per mancanza improvvisa di tensione si ha
l'arresto immediato del bruciatore, al ripri-
stino della tensione la caldaia si rimetterà
automaticamente in funzione.
3.4 DISPOSITIVO FUMI “25/60 OF”
È una sicurezza contro il reflusso dei fumi in
ambiente per inefficienza od otturazione
parziale della canna fumaria (9 fig. 3).
Interviene bloccando il funzionamento della
valvola gas quando il rigetto dei fumi in
ambiente è continuo, e in quantità tali da
renderlo pericoloso. Per ripristinare il fun-
zionamento della caldaia riarmare il pulsan-
te del termostato. Qualora dovesse ripeter-
si in continuazione il blocco della caldaia
sarà necessario effettuare un attento con-
trollo alla canna fumaria, apportando tutte
le modifiche e gli accorgimenti necessari
perché possa risultare efficiente.
Dopo ogni
intervento effettuato sul dispositivo verificar-
ne il corretto funzionamento. In caso di sosti-
tuzione usare solo ricambi originali Sime.
NOTA: E’ vietato mettere fuori servizio il
dispositivo.
3.5 PRESSOSTATO FUMI
“25/60 BF - 30/60 BF”
Il pressostato, a taratura fissa 4,5-6 mm
H
2
O (vers. “25/60”) e 10-13 mm H
2
O
(vers. “30/60”), è in grado di garantire la
funzionalità della caldaia anche con tubazioni
di aspirazione e scarico al limite massimo di
lunghezza consentita (10 fig. 3). Impurità e
possibili formazioni di condensa, probabili nei
periodi più freddi della stagione, potrebbero
causare mancate partenze della caldaia.
3.6 SICUREZZA MANCANZA ACQUA
Un pressostato acqua interviene, bloccan-
do il funzionamento del bruciatore, qualora
la pressione in caldaia sia inferiore al valo-
re di 0,5 bar (6 fig. 3). Per ripristinare il
funzionamento del bruciatore agire sul
caricamento (fig. 7) e riportare la pressio-
ne a valori compresi tra 1-1,2 bar.
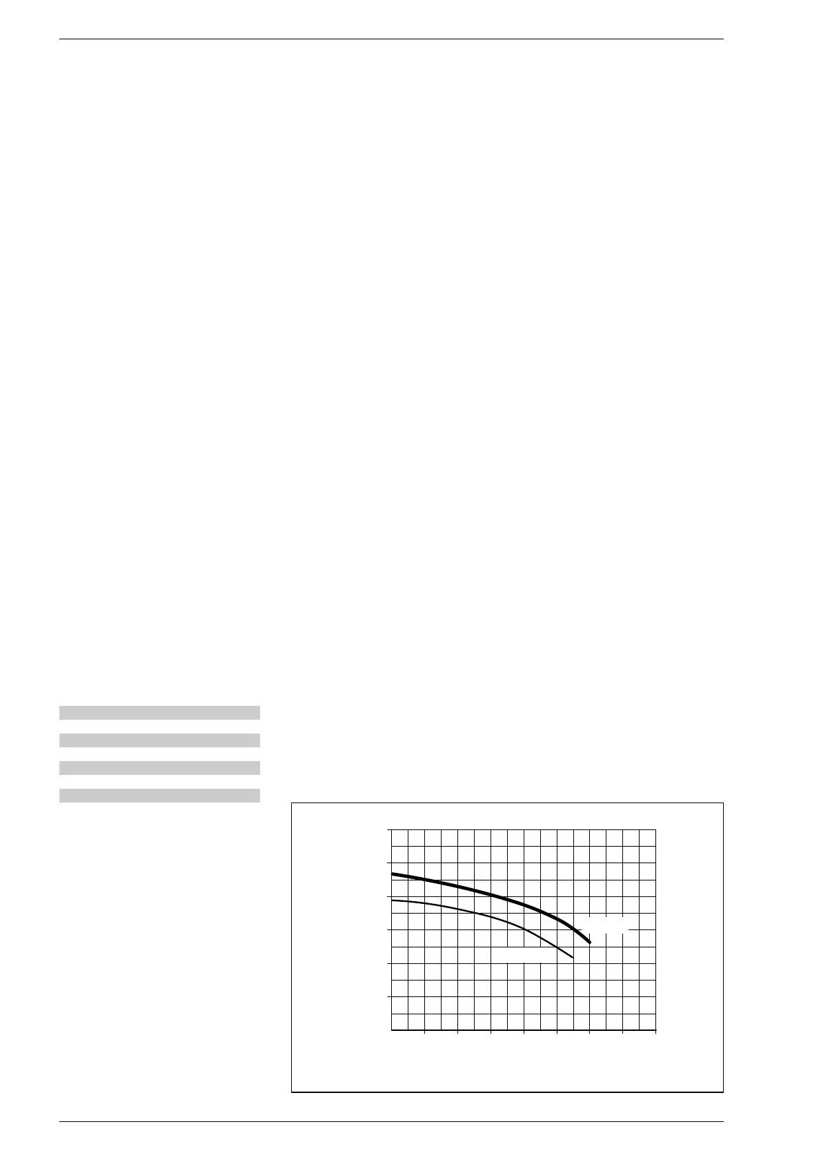
3.7 PREVALENZA DISPONIBILE
ALL’IMPIANTO
La prevalenza residua per l’impianto di
riscaldamento è rappresentata, in funzione
della portata, dal grafico di fig. 23.
3.8 OROLOGIO PROGRAMMATORE
OPTIONAL (fig. 24)
Il pannello di comando consente l'utilizzo di
un orologio programmatore per la gestio-
ne del riscaldamento, fornito a richiesta
nel kit cod. 8092203. Per effettuare il
montaggio dell’orologio programmatore
togliere dal pannello comando il copriforo
TABELLA 3
Temperatura (°C) Resistenza ()
20 12.090
30 8.313
40 5.828
50 4.161
60 3.021
70 2.229
80 1.669
0
600
200
1600
140012001000800600400
PORTATA (l/h)
PREVALENZA RESIDUA (mbar)
500
400
100
200
300
25/60
30/60
Format e Planet 25 - 30/60
Fig. 23

Related product manuals