EasyManua.ls Logo

Singer 1410 - Troubleshooting and Problem Solving; Needle Thread Breakages and Stitch Issues

Singer 1410
38 pages
Print Icon
To Next Page IconTo Next Page
To Next Page IconTo Next Page
To Previous Page IconTo Previous Page
To Previous Page IconTo Previous Page
Loading...
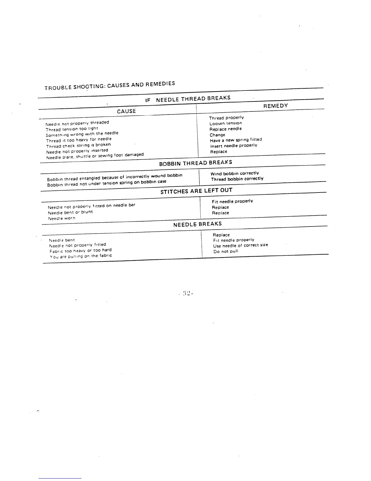
TROUBLE
SHOOTING:
CAUSES
AND
REMEDIES
IF
NEEDLE
THREAD
BREAKS
CAUSE
REMEDY
Needle
not
properly
threaded
Thead
properly
Thread
tension
too
tight
Loosen
tension
Sometning
wrong
with
the
needle
Replace
needle
Thread
it
too
heavy
for
needle
Change
Thread
check
spring
is
broken
Have
a
new
spring
fitted
Needle
not
properly
inserted
Insert
needle
properly
Needle
plate.
shijttle
or
sewing
foot
damaged
Replace
BOBBIN
THREAD
BREAKS
Bobbin
thread
entangled
because
of
incorrectly
wound
bobbin
Wind
bobbin
correctly
Bobbin
thread
not
under
tension
spring
on
bobbin
case
Thread
bobbin
correctly
STITCHES
ARE
LEFT
OUT
Needle
not
properly
fitted
on
needle
bar
Fit
needle
properly
Needle
bent
or
blunt
Replace
Needle
worn
Replace
NEEDLE
BREAKS
Needle
bent
Replace
Needle
not
properly
fitted
Fit
needle
properly
Fabric
too
heavy
or
too
hard
Use
needle
of
correct
size
Yj
are
pulling
on
the
fabric
Do
not
pull
:;-

Related product manuals