EasyManua.ls Logo

Sony EVI-D70 - Alarm Mode 02 Flowchart

Sony EVI-D70
61 pages
Print Icon
To Next Page IconTo Next Page
To Next Page IconTo Next Page
To Previous Page IconTo Previous Page
To Previous Page IconTo Previous Page
Loading...
17
Basic Functions
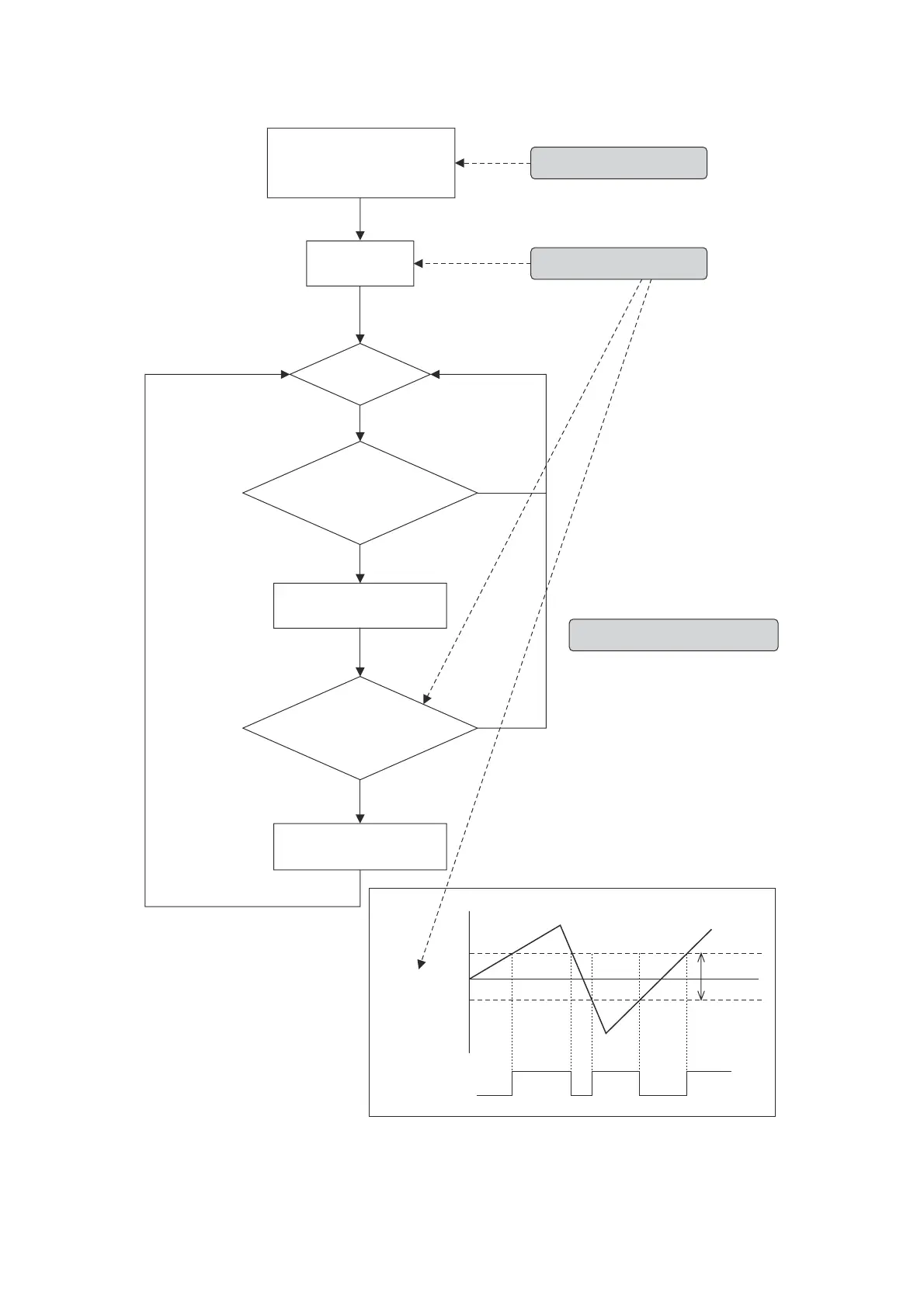
Mode “02”
Set the AE level Hysteresis.
Set to the factory preset
Alarm On
AE Level into memory
AE moves.
AE moves outside of
the hysteresis.
High level signal output
* Repeat this loop until Alarm off.
*
AE goes back to the
previous level.
Low level signal output
AE Level
Bright
Dark
Hysteresis
Low
High

Other manuals for Sony EVI-D70

Related product manuals