EasyManua.ls Logo

Sony RM-E100V - Page 6

Sony RM-E100V
23 pages
Print Icon
To Next Page IconTo Next Page
To Next Page IconTo Next Page
To Previous Page IconTo Previous Page
To Previous Page IconTo Previous Page
Loading...
Location
and
Function
of
Controls
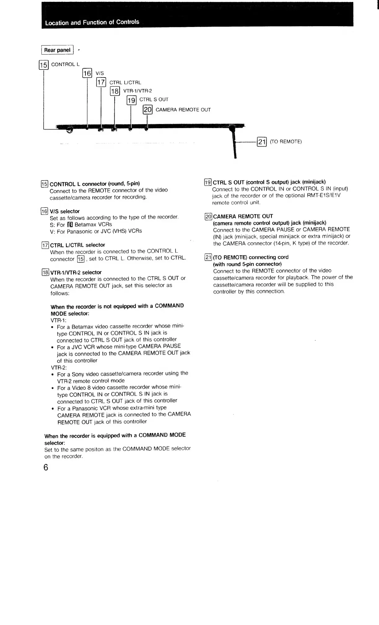
Rear
panei
|
-
CONTROL
L
vis
CTRL
LICTRL
VTRHIVTR-2
CTRL
S
OUT
CONTROL
L
connector
(round,
5-pin)
Connect
to
the
REMOTE
connector
of
the
video
cassette/camera
recorder
for
recording.
VIS
selector
Set
as
follows
according
to
the
type
of
the
recorder.
S:
For
Betamax
VCRs
V:
For
Panasonic
or
JVC
(VHS)
VCRs
CTRL
LICTRL
selector
When
the
recorder
is
connected
to
the
CONTROL
L
connector
_set
to
CTRL
L.
Otherwise,
set
to
CTRL.
VTR-1/VTR-2
selector
When
the
recorder
is
connected
to
the
CTRL
S
OUT
or
CAMERA
REMOTE
OUT
jack,
set
this
selector
as
follows:
When
the
recorder
is
not
equipped
with
a
COMMAND
MODE
selector:
VTR-1:
e
For
a
Betamax
video
cassette
recorder
whose
mini-
type
CONTROL
IN
or
CONTROL
S
IN
jack
is
connected
to
CTRL
S
OUT
jack
of
this
controller
e
For
a
JVC
VCR
whose
mini-type
CAMERA
PAUSE
jack
is
connected
to
the
CAMERA
REMOTE
OUT
jack
of
this
controller
VTR-2:
e
For
a
Sony
video
cassette/camera
recorder
using
the
VTR-2
remote
control
mode
*
For
a
Video
8
video
cassette
recorder
whose
mini-
type
CONTROL
IN
or
CONTROL
S
IN
jack
is
connected
to
CTRL
S
OUT
jack
of
this
controller
¢
For
a
Panasonic
VCR
whose
extra-mini
type
CAMERA
REMOTE
jack
is
connected
to
the
CAMERA
REMOTE
OUT
jack
of
this
controller
When
the
recorder
is
equipped
with
a
COMMAND
MODE
selector:
Set
to
the
same
positon
as
the
COMMAND
MODE
selector
on
the
recorder.
6
CAMERA
REMOTE
OUT
(TO
REMOTE)
CTRL
S$
OUT
(control
S
output)
jack
(minijack)
Connect
to
the
CONTROL
IN
or
CONTROL
S
IN
(input)
jack
of
the
recorder
or
of
the
optional
RMT-E1S/E1V
remote
control
unit.
(20|CAMERA
REMOTE
OUT
(camera
remote
control
output)
jack
(minijack)
Connect
to
the
CAMERA
PAUSE
or
CAMERA
REMOTE
(IN)
jack
(minijack,
special
minijack
or
extra
minijack)
or
the
CAMERA
connector
(14-pin,
K
type)
of
the
recorder.
(TO
REMOTE)
connecting
cord
(with
round
5-pin
connector)
Connect
to
the
REMOTE
connector
of
the
video
cassette/camera
recorder
for
playback.
The
power
of
the
cassette/camera
recorder
will
be
supplied
to
this
controller
by
this
connection.

Related product manuals