EasyManua.ls Logo

Sorvall RT/T6000D - Page 33

Sorvall RT/T6000D
302 pages
Print Icon
To Next Page IconTo Next Page
To Next Page IconTo Next Page
To Previous Page IconTo Previous Page
To Previous Page IconTo Previous Page
Loading...
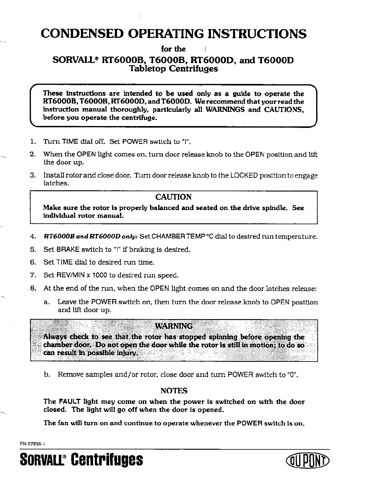
CONDENSED
OPERATING
INSTRUCTIONS
S°»VM..
"»%^^^
^
^
l-
T\lrn
^^off.
Set
POWER
switch
to
T
^T^^'—————^^^e^to^OPBN
3.
^otoran.c.ose.oo.
Tu,ndoo«e,ease^
to
^LOCKED
position
and
lift
position
to
engage
^te^:"',"'5?-^
o^^d
^.d
manual.
on
the
drive
spindle.
See
4-
""^'"^"^"'^SetCHAMBERTC^^———
setBRAKESW•^t°•'•^^.^,
Mp
cd•altodes^
6.
Set
TIME
dial
to
desired
run
time
7-
^V/MI^IOOO
to
desired
run
speed
8-
^tteend
of
the
""•
when
"-
°^
U^t
co.es
on
and
the
doc
a-
SOO.T'
swltch
on'then
tur"
^
d,o.
^1:
^n
temperature.
"ght
comes
on
and
the
door
latches
release:
to
OPEN
position
b-
^^"^^^-andt^^^^
NOTES
switch
to
"O".
PN
07836-1
S^eth-Jl^^^o^^^^^^^
o"
-h
^
doo,
-<an.,..^,,^^___^^^^^^

Related product manuals