EasyManua.ls Logo

Srne ML2420 - System Maintenance

Srne ML2420
32 pages
Print Icon
To Next Page IconTo Next Page
To Next Page IconTo Next Page
To Previous Page IconTo Previous Page
To Previous Page IconTo Previous Page
Loading...
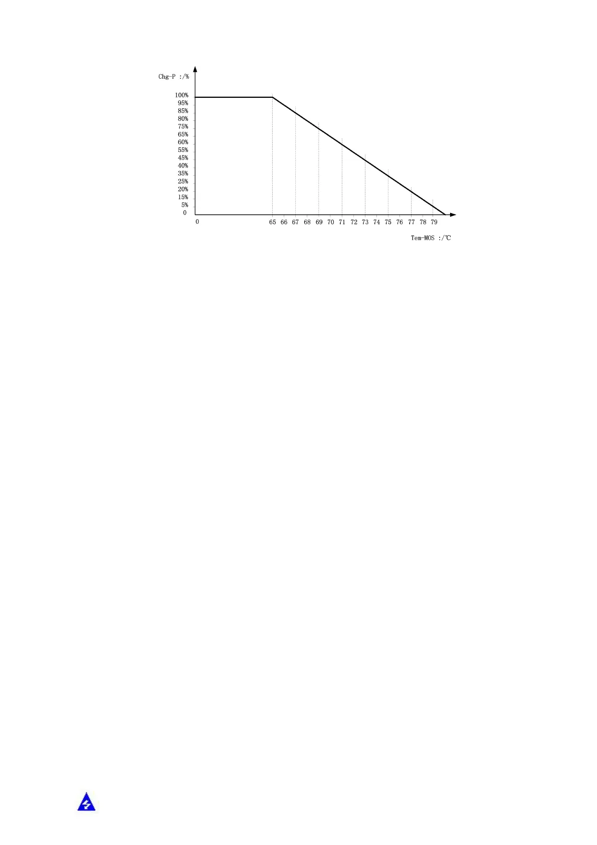
power or halt charging. See the following diagram:
Fig. 4-1
4.2 System Maintenance
In order to always keep the controller's performance at its optimum level, we
recommend that the following items be checked twice a year.
Make sure the airflow around the controller is not blocked and clear away any dirt
or debris on the radiator.
Check if any exposed wire gets its insulation undermined due to exposure to
sunlight, friction with other adjacent objects, dry rot, damage by insects or rodents,
etc. Repair or replace those affected when necessary.
Verify that indicators function in line with device operations. Note any faults or
displayed errors and take corrective measures if necessary.
Check all wiring terminals for any sign of corrosion, insulation damage, overheat,
combustion/ discoloration, and tighten the terminal screws firmly.
Check if there are any dirt, nesting insects or corrosion, and clean as required.
If the lightening arrester has lost its efficacy, replace it with a new one timely to
prevent the controller and even other devices owned by the user from being damaged
by lightening.
Warning: risk of electric shock! Before carrying out the above checkings or

Related product manuals