EasyManua.ls Logo

Stihl MS 170, 180 - Page 93

Stihl MS 170, 180
122 pages
To Next Page IconTo Next Page
To Next Page IconTo Next Page
To Previous Page IconTo Previous Page
To Previous Page IconTo Previous Page
Loading...
92
español / EE.UU
MS 170, MS 180, MS 180 C
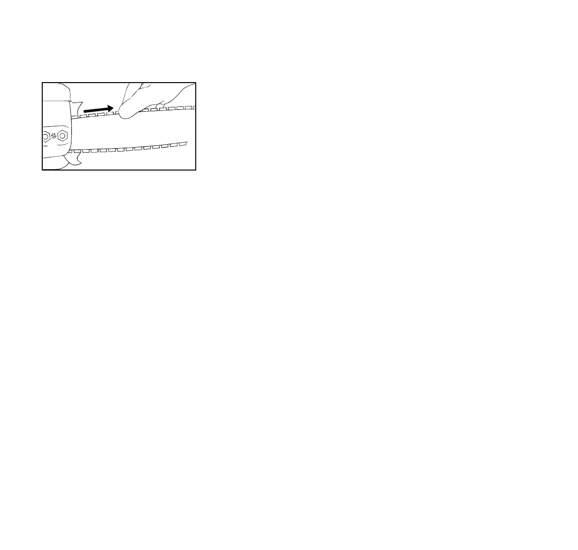
: Apague el motor.
: Póngase guantes de trabajo.
: La cadena debe quedar ajustada
contra la parte inferior de la barra y,
con el freno de cadena
desconectado, debe poderse tirar
de la cadena a lo largo de la barra
con la mano.
: De ser necesario, vuelva a tensar la
cadena.
Es necesario volver a tensar las cade-
nas nuevas con mayor frecuencia que
las que han estado en uso por algún
tiempo.
Revise la tensión de la cadena frecuen-
temente – vea la sección "Durante el
funcionamiento".
Este motor está certificado para funcio-
nar con una mezcla de 50 a 1 de gaso-
lina sin plomo y aceite STIHL para moto-
res de dos tiempos.
Su motor de dos tiempos requiere una
mezcla de gasolina de calidad y aceite
de calidad para motores de dos tiempos
enfriados por aire.
Use gasolina sin plomo regular con un
octanaje mínimo de 89 (R+M/2). Si el
octanaje de la gasolina regular en su
zona es más bajo, use combustible sin
plomo superior.
El combustible de octanaje bajo puede
aumentar la temperatura de funciona-
miento del motor. Esto, a su vez,
aumenta el riesgo de que se agarrote el
pistón y se dañe el motor.
La composición química del combusti-
ble también es importante. Algunos adi-
tivos de combustible no solamente tie-
nen efectos perjudiciales en los
elastómeros (diafragmas de carburador,
sellos de aceite, tuberías de combusti-
ble, etc.), sino también en las piezas
fundidas de magnesio y en los converti-
dores catalíticos. Esto podría causar
problemas de funcionamiento e incluso
daño del motor. Por esta razón, STIHL
recomienda el uso exclusivo de gasolina
sin plomo de buena calidad.
Use solamente el aceite STIHL para
motores de dos tiempos o un aceite de
marca equivalente para motores de dos
tiempos diseñado para usar exclusiva-
mente con los motores de dos tiempos
enfriados por aire.
Recomendamos el aceite STIHL para
motores de dos tiempos 50:1 pues está
especialmente formulado para usarse
en motores STIHL.
No use aceites para mezclar con desig-
naciones BIA o TCW (para motores de
dos tiempos enfriados por agua) ni otros
aceites para mezclar diseñados para
usar en motores enfriados por agua o
por aire (por ejemplo, para motores
marinos fuera de borda, motonieves,
sierras de cadenas, bicimotos, etc.).
Manipule la gasolina con sumo cuidado.
Evite el contacto directo con la piel y
evite inhalar los vapores de combusti-
ble. Cuando se reabastece de combus-
tible, quite primero el envase del vehí-
culo y colóquelo en el suelo antes de
llenarlo. No llene un envase que está en
un vehículo o apoyado sobre el mismo.
Mantenga el envase bien cerrado para
evitar la entrada de humedad a la mez-
cla.
Según sea necesario, limpie el tanque
de combustible de la máquina y el
envase en que se guarda la mezcla de
combustible.
Revisión de tensión de la
cadena
143BA007 KN
Combustible

Related product manuals