EasyManua.ls Logo

TCL TAC-09CSA - Defrost Operation; Defrost Control Logic; Defrost Termination Conditions

TCL TAC-09CSA
36 pages
Print Icon
To Next Page IconTo Next Page
To Next Page IconTo Next Page
To Previous Page IconTo Previous Page
To Previous Page IconTo Previous Page
Loading...
TCL Air Conditioner Service Manual
10
(5) Defrost
Defrosting of the outdoor heat exchange is controlled by the microprocessor with detection by the indoor
pipe temperature sensor.
Defrost control type is according to the JC on the PCB whether is connected.
When the JC is connect on the PCB
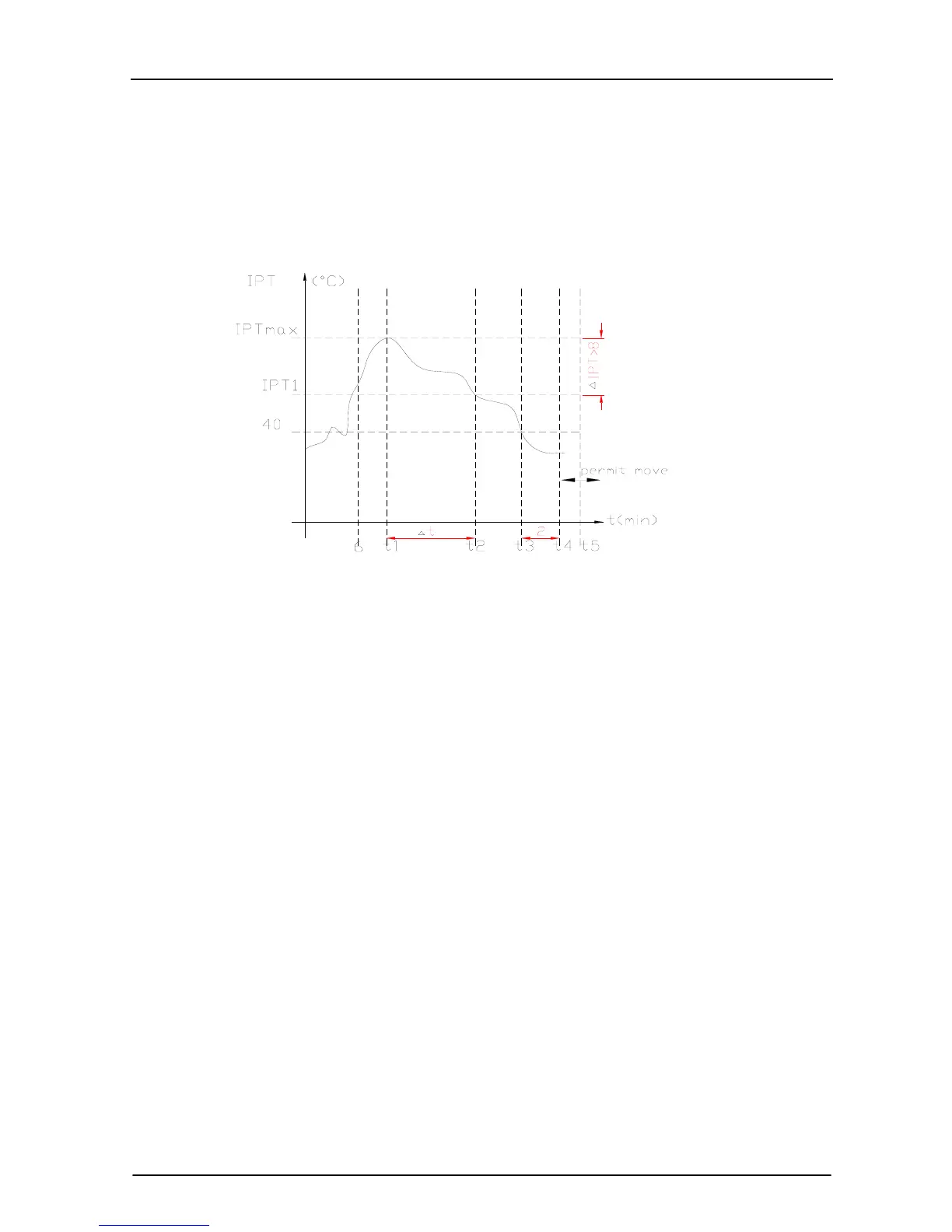
When one of the conditions of A, Band C is satisfy, the defrosting operation stars.
A. IPT--- indoor pipe temperature
In the condition A, it must satisfy the conditions a), b)and c) then into defrosting operation.
a) IPT1 satisfy IPT1=IPT
MAX
-△IPT8℃)
b) t550minutes(the compressor cumulative operation time50 minutes, t5 is permitted move
and lower than t1 too).
c)
IPT40℃,and keep 2 minutes.
According to the condition A enter the defrosting operation, the first defrosting operation time is
8minutes; After defrosting operation one cycle, and then judge and regulate the defrosting operation
time.
B. After the compressor cumulative operation time exceeds 120 minutes and the temperature of the IPT
is less then 35
for 2 minutes. When the defrosting operation time on this condition exceeds
8minutes, it will terminate.
C. After the compressor operation continuously for 20 minutes and the IPT is less than 23 or from
the last time of defrosting operation is 50 minutes or more interval. When the defrosting operation
time on this condition exceeds 10 minutes, it will terminal.
When the JC isn’t connected on the PCB
When the conditions of a) or b) is satisfy, the defrosting operation starts.
a) Under the heating operation, the compressor cumulative operation time exceeds 50 minutes and the
temperature of the outdoor pipe temperature sensor reads lower than 8
b) Under the heating operation, the compressor cumulative operation time exceeds 50 minutes, if the
indoor pipe temperature sensor reads lower than 40
continuously for 2minutes.
Note: If haven’t the outdoor pipe temperature sensor that use the condition b) to defrost, against
use the condition a).
Defrost terminating conditions
When the condition c) or d) is satisfy, the defrosting operation will terminal.
c) The outdoor defrost sensor reads 20
or more.
d) The defrosting time exceeds 10 minutes.

Related product manuals