EasyManua.ls Logo

Technibel Climatisation MTF97C5TAA - Performance Data; Performance Chart

Technibel Climatisation MTF97C5TAA
27 pages
Print Icon
To Next Page IconTo Next Page
To Next Page IconTo Next Page
To Previous Page IconTo Previous Page
To Previous Page IconTo Previous Page
Loading...
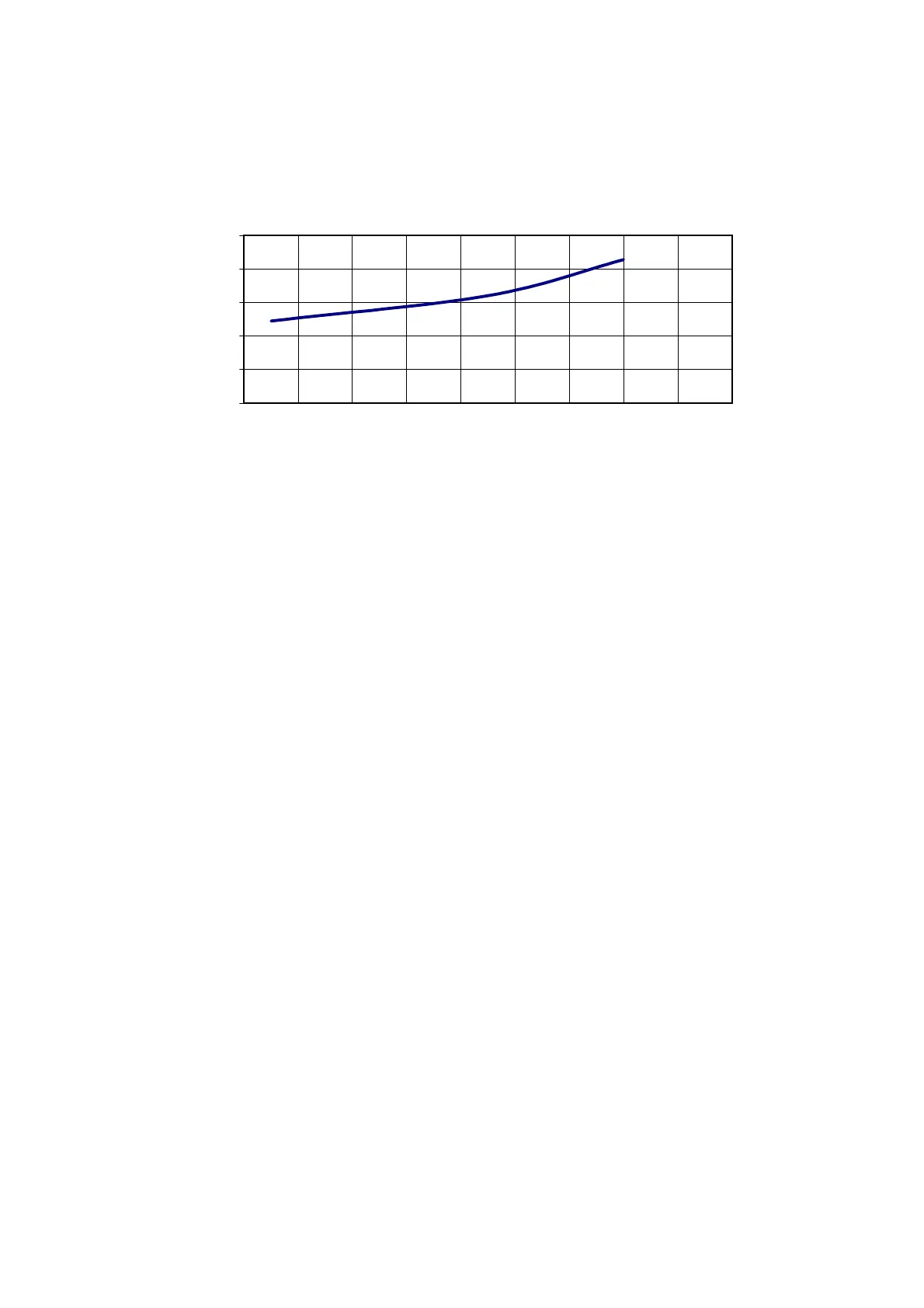
4. PERFORMANCE DATA
4-1 Performance Chart
4,9 32
Operating characteristics with relative humidity around 50%
2,50
3,00
3,50
4,00
4,50
5,00
18 20 22 24 26 28 30 32 34 36
Room temperature (°C)
Operating current (A)
8

Related product manuals