EasyManua.ls Logo

Technibel PHRT 9 - Page 19

Technibel PHRT 9
22 pages
Print Icon
To Next Page IconTo Next Page
To Next Page IconTo Next Page
To Previous Page IconTo Previous Page
To Previous Page IconTo Previous Page
Loading...
GB
19
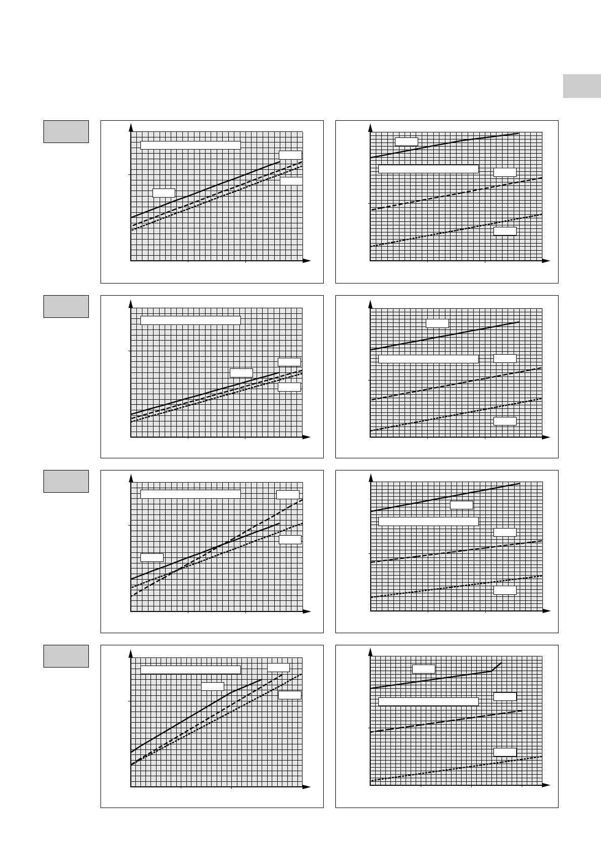
11.2 - COOLING MODE
HIGH PRESSURELOW PRESSURE
22
24
26
28
30
32
34
36
38
40
5678910111213141516171819202122
22
24
26
28
30
32
34
36
38
40
567891011121314151617181920
22
24
26
28
30
32
34
36
38
40
567891011121314151617181920
22
24
26
28
30
32
34
36
38
40
567891011121314151617181920
6
7
8
9
10
11
12
5678910111213141516171819202122
6
7
8
9
10
11
12
567891011121314151617181920
6
7
8
9
10
11
12
567891011121314151617181920
6
7
8
9
10
11
12
567891011121314151617181920
PHRT 9
PHRT 12
PHRT 16
PHRT 18
Water outlet temperature (°C)
Low pressure (relative bar)
Outside temperature
Water outlet temperature (°C)
High pressure (relative bar)
Outside temperature
35° C
25° C
Water outlet temperature (°C)
Low pressure (relative bar)
Outside temperature
Water outlet temperature (°C)
High pressure (relative bar)
Outside temperature
Water outlet temperature (°C)
Low pressure (relative bar)
Outside temperature
Water outlet temperature (°C)
High pressure (relative bar)
Outside temperature
Water outlet temperature (°C)
Low pressure (relative bar)
Outside temperature
Water outlet temperature (°C)
High pressure (relative bar)
Outside temperature
43° C
35° C
25° C
43° C
35° C
25° C
43° C
35° C
25° C
43° C
35° C
25° C
43° C
35° C
25° C
43° C
35° C
25° C
43° C
35° C
25° C
43° C

Other manuals for Technibel PHRT 9

Related product manuals