EasyManua.ls Logo

Technics sl-pd887 - Replacement Parts Listing

Technics sl-pd887
41 pages
Print Icon
To Next Page IconTo Next Page
To Next Page IconTo Next Page
To Previous Page IconTo Previous Page
To Previous Page IconTo Previous Page
Loading...
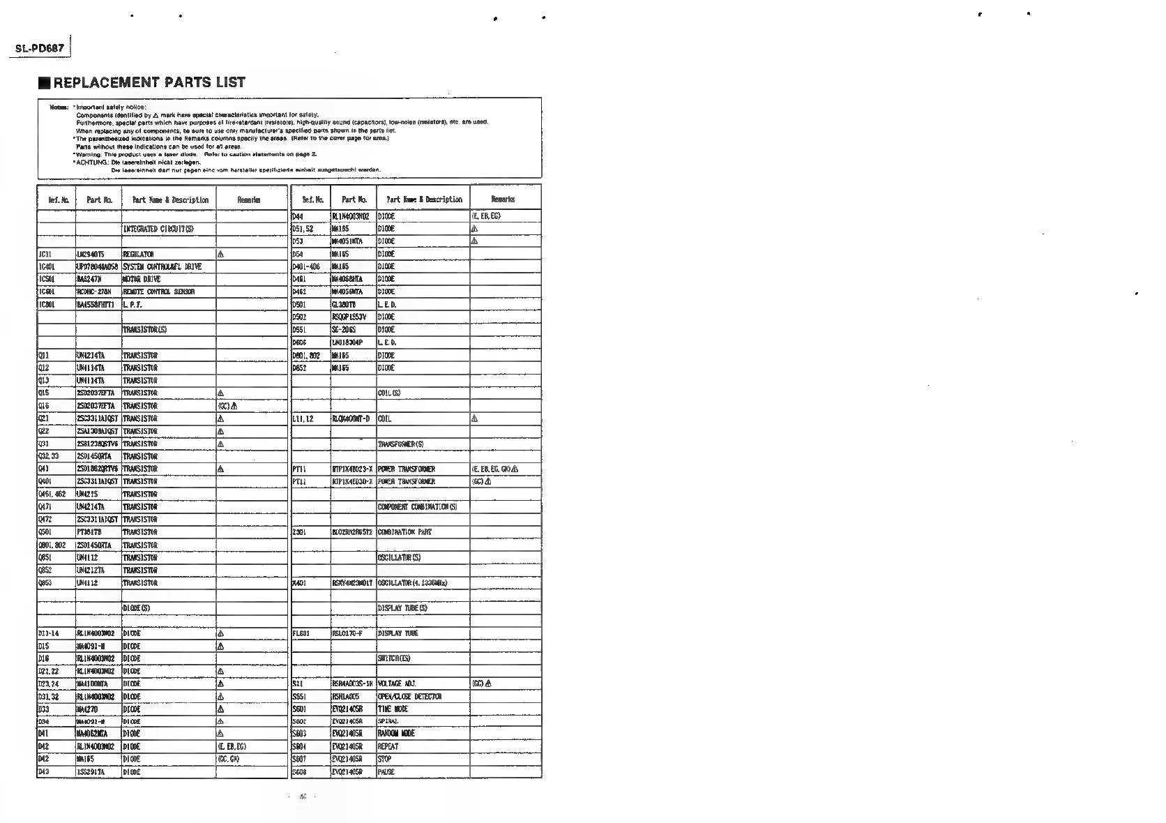
SL-PD687
|
MEREPLACEMENT
PARTS
LIST
Nowa:
“Important
salty
notice:
‘Component
(entiied
by
&
mark
have
special
characteristics
important
for
satel.
Furthermore.
apecil
parte
which
have
purposes
of
treveardan
(eritors),higheualiy
sound
capactor)ow-ole
esstrs
ee,
re
uted
‘nen
repiacing
any
of
components
be
sure
fo
vse
ony
manulacurrsapeciog
parts
snow
inthe
pers
it
“The
parantbesized
Indeations
in
the
Remarks
columns
spect
the
ares.
(Refer
to
the
cover
page
for
wre)
Parts
without
hese
inieliona
canbe
used
fra
ares.
-waming:
Tis
prodvct
uses
8
laser
clode.
Rete
0
caution
statements
on
page
2.
SAEHTUNG:
Be
lnerenhet
nicht
rvepen
I
Die
asorainel
cart
nt
gegen
ine
vom
Rerlale
apentziet
sinha
ausgetauscht
werden,
Fef.to.
|
Part
ta
|
Part
Name
&
Description
farts
et.ta
|
Part
No.
|
Part
Kane
&
Description
Aemarks
[oa
eae
DIODE
eta)
eTEGEATED
CHROUTT
)
52__fuits
[ove
la
sa
Imaosinta
[01008
las
eat
[ueswrs
—_[pecuaton
rs
[sa
fait
rode
cai
[uPprenenose
|SrST
CORTRLAFL
DANE
porate
pases
ron
ican
asearw—_‘aoTon
DRIVE
lows
(santa
_[D100€
CoOL
__[RCDWR-276N
[REMOTE
CONTROL
SEASOR
lowe
wvscrta
[01006
coo
faasserum
[LPF
foo
feuneos(LE.D.
osoz—__SOcPissav
_[oione
RaNsiSTOR’S)
ssi
_—(S-2008
[Dione
peo
—_fumissoam
(LE.
i
__[oweaneta
|
reasisToR
ogo.
ae
jn
100
2
|ivaiets
_|rasisTon
pase
nts
pro0e
fai
|ivenneta
[Transistor
[ers
___(estena7erta_
[TRANSISTOR
la
leisy
fas
[esneuarerta_[raatsiston
a
lei
SCHSTTATOST
[TRANSISTOR
a
lant?
(meaaoner-D_foonL
a
joce__[esataoanrost
|reansisToR
a
an
pseizaeqstvs
[TRANSISTOR
la
FTanSFORERS)
[eee
39
fesbiasonta
[TRANSISTOR
[ea
psovekaorrve
[TRANSISTOR
la
ras
__[RTa23-x
[POWER
TRANSFORUER
EEA
fetch
fescaauialosr
|TeaNSISTOR
Jeri
RTXAO30-x
[POWER
TaMNSFORER
(oa
fei
62
_linazis
——_|aNsISTOR
fecth—_finaziata_[reaNsisTOR
[
[SMPORENT
CINGTNATIONS)
ferrz
__[ascasitalgst
[TRANSISTOR
i
fesor_—_
[erasers
frRasisToR
fai
|
BLO2RRESTE
[COMBINATION
PART
[sol
2
_esbiasonta
[TRANSISTOR
jesst_
furan.
[TRANSISTOR
fosciLLaTOR
S)
joes
[unazizta
[TmaxsisToR
(cass
fuNali2
TRANSISTOR
jean
RSYNC
[OSCILLATOR
229602)
broDE
sy
[DISPLAY
TURE
G)
ont
ee
brook
ie
usor__[Suoi70-F
[Dismay
Tee
cis
_(uasosi-a
[olor
la
pie
fmLanaoasez_[p1o0E
[sercHces)
cet.
22
—_(mtaneone
[oiooe
ia
[ea
26
fiver
[prone
la
mn
RSRAAO02S-1H
[VOLTAGE
AD
(oa
oan.32—_|mtaneooawne
[D100
la
[sssi___(rswiaaos
—_foravoLose
veTacror
oa_——sweTo
=o
la
sor__fevearaose
[rive
ODE
joa
owanon-a
—_Jo1o0e
i
[sso2_—_fevarraose
[pina
Jon
vancia
[DICE
In
3603
fevaet4n5R
[ANON
MDE
foc
|ictnanoawae
_[o1006
Gir
isooe
—__fevaniaose(rePeaT
Joe
——_uants———_—(DLOOE
(C.00
(sco
—_fevarnaosa
[stor
baa
Tissearta
[plone
Jevoeraose
_[PwISE

Other manuals for Technics sl-pd887

Related product manuals